samara, Samara, Russian Federation
Samara, Russian Federation
CSCSTI 06.01
CSCSTI 06.81
Russian Library and Bibliographic Classification 65
Due to the digital transformation of the domestic economy, it becomes necessary to rethink the approaches to the management of the innovative activity of industrial enterprises. In this regard special attention should be paid to the construction of the structure and the content of elements of the new innovative subprocesses. As a result of the study there it is worked out a model of the development of innovative activity and the reserves for improving the efficiency quality of domestic industrial enterprises are determined.
innovations, innovative activity, management, model, development, efficiency, enterprises
В условиях системного кризиса вопросы повышения эффективности управления инновационной деятельностью предприятий (ИДП) становятся все более актуальными. Необходимость оперативного реагирования на меняющиеся национальные и мировые потребности резко возрастает. В связи с этим требуется глубокое исследование процесса ИДП, охватывающего все составляющие элементы деятельности предприятия, связанные с инновационными циклами, структурой, инструментами и технологиями управления. При этом следует учитывать зарубежный опыт разработки и внедрения инноваций, открывающий отечественным производителям принципиально новые траектории перспективного развития на основе наукоёмкого производства.
Понимание и осмысление отечественного и зарубежного опыта исследования и внедрения инноваций являются платформой для роста конкурентоспособности и устойчивого развития отечественных промышленных предприятий [1, 16, 21]. Развитие ИДП неотъемлемо связано с использованием новых информационных технологий, позволяющих ускорить процесс передачи знаний и умений, обеспечивающих инновационную трансформацию предприятия и охватывающих все системные процессы, способствующие эффективному взаимодействию участников инновационной деятельности.
Основными этапами процесса инновационной трансформации отечественных промышленных предприятий являются следующие:
- поиск новых подходов к ее организации с учетом влияния экзогенных и эндогенных факторов, текущей конъюнктуры рынка и стратегических задач развития отрасли;
- определение наиболее эффективного инструментария управления ИДП, оценки инновационного потенциала и конкурентоспособности предприятия, позволяющего качественно идентифицировать потенциальные возможности и скрытые резервы инновационного роста;
- разработка комплексного механизма развития ИДП, обеспечивающего минимизацию затрат и оптимизацию рисков и неопределенности в процессе разработки и внедрения инноваций, рационализацию распределения ресурсов предприятия, оперативность решения стратегических задач.
Процессы формирования и развития парадигмальных и концептуальных подходов к управлению инновационной деятельностью освещены в трудах известных зарубежных ученых таких, как П.Ф. Друкер, Дж. Кларк, Р. Солоу, К. Фримен, Ф. Хайек, Р. Харрод, Й. Шумпетер, а также в работах отечественных исследователей В.И. Винокурова, Б.Н. Герасимова, Г.Я. Гольдштейн, С.Ю. Глазьева, С.Л. Ильенкова, Н.Д. Кондратьева, В.Н. Лопатина Б.Е. Лужанского, А.В. Нестерова, А.В. Тычинского, Д.Ю. Хомутского и др.
Подбор и апробирование методологического инструментария в процессах управления инновационной деятельности рассмотрены в трудах О.М. Белоцерковского, М.А. Гершмана, Б.Л. Кузнецова, Ю.Г. Лавриковой, И.Н. Насырова, О.А. Романовой, О.С. Сухарева, А.И. Татаркина и др.
Оценке и обоснованию качества и эффективности инновационной трансформации промышленных предприятий посвящены работы К.В. Балдина, В.И. Воропаева, Г.И. Иванова, С.Д. Ильенковой, В.А. Колоколова, Б.Л. Кузнецова, В.Г. Медынского, М.Л. Разу, Б.А. Райзберга, Р.А. Фатхутдинова и др.
Вышеперечисленные ученые, безусловно, внесли большой вклад в исследование ИДП, однако, несмотря на широкий спектр работ, ориентированных на повышение эффективности управления инновациями, вопросам формирования инструментов развития ИДП, исследования его структурных элементов и атрибутов, а также характера взаимосвязи традиционных и инновационных объектов уделено недостаточно внимания.
Таким образом, цель настоящего исследования заключается в декомпозиции инновационной деятельности, изучении характера взаимодействия между инновационными подпроцессами и выявлении резервов для повышения эффективности реализации инновационных проектов.
Для эффективного проектирования и развития инновационной деятельности в рамках систем управления предприятиями (СУП) необходимо установить состав и структуру процессов, функционирующие в них, а также показать их место и роль в управленческой деятельности. Это определение весьма уместно, так как целью научного исследования являлось построение (или реформирование), а также целенаправленное применение инструментов методологии процессного управления в деятельности предприятий в соответствии с вызовами внешней среды.
Процесс – это непрерывная последовательная смена состояний каких-либо феноменов (объектов, событий, явлений) в природе и обществе [2]. Однако рассматривать и осуществлять целенаправленную трансформацию форм и содержания традиционных процессов предприятия возможно только в том случае, когда будет разработана шкала времени, к точкам которой будут привязаны те или иные состояния процессов или их частей и, благодаря которым станет возможно их различать, идентифицировать и, наконец, изменять [9].
В работах [10, 24] были представлены и описаны важнейшие процессы, протекающие в современных предприятиях: управление стратегией, управление маркетингом, управление персоналом, управление информацией, управление операциями, управление качеством, управление инновациями, управление финансами, управление безопасностью жизнедеятельности. В этих же работах представлено содержание процессов и их структура на уровне важнейших составных частей – подпроцессов.
Подпроцесс – это некоторая часть процесса, выделенная по определенным правилам и имеющая право на существование и обладающая системными свойствами [1].
По литературным источникам и исследованиям авторов, посвященным структурному содержанию СУП, были определены подпроцессы, составляющие структуру всех основных процессов организаций [2, 13]. Кроме того, авторами были определены подпроцессы инновационной деятельности, которые позволяют исследовать, формировать и развивать все остальные процессы деятельности предприятия.
Качество и эффективность ИДП, по мнению авторов работ [12, 20, 22], оценивается через способность предприятия создавать новые (ключевые) компетенции в соответствии с изменяющимися условиями внешней среды. В связи с этим инновационная трансформация промышленных предприятий должна быть реализована с учетом факторов и условий внешней среды, определяющих вектор инновационного развития экономики страны [15, 18].
В качестве инструмента развития ИДП следует использовать моделирование процессов построения новой структуры инновационной деятельности с заданными свойствами для достижения заявленных целей.
Таким образом, при в процессе построения модели развития ИДП необходимо учитывать основные принципы функционирования и ключевые компетенции инновационного предприятия, точки его инновационного роста, инструменты управления и инновационные мультипликаторы, а также передовые достижения теории инноватики и мировой практики [23, 25]. Определение сущностных характеристик ИДП позволит раскрыть особенности управления инновационными процессами в условиях циклического развития экономики [17].
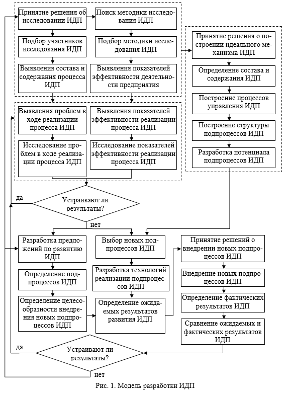
Авторская модель развития ИДП (рис. 1) представляет собой совокупность взаимосвязанных элементов, реализуемых с целью совершенствования ИДП [3]: контроля осуществляемых подпроцессов, их своевременной корректировки и адаптации к внешним воздействиям, повышения инновационного потенциала и т.д. Каждый из элементов отвечает за четко определенный перечень задач, поставленных в соответствие с инновационной политикой. Их состав и содержание обусловлены отраслевыми особенностями и стратегическими целями предприятия. Любое вмешательство в деятельность данного механизма может повлечь необратимые последствия вплоть до искажения выходной информации. В связи с этим принимаемые управленческие воздействия должны иметь четкое обоснование и объективные прогнозы итоговых показателей.
Рассмотрим подробнее характеристики структурных элементов модели развития ИДП:
Процесс моделирования начинается с принятия решения об исследовании ИДП, которое производится вследствие неудовлетворенности результатами сопоставления данных о текущей деятельности предприятия, его инновационном потенциале и конкурентоспособности и его целевых показателей развития. [4, 7] Далее осуществляется подбор участников исследования ИДП, ответственных за качество и своевременность информации, обоснованность и актуальность выводов.
С целью повышения эффективности проводимого исследования необходимо, во-первых, иметь более четкое преставление о составе и содержании подпроцессов ИДП. Для этого конкретизируются задачи, последовательно решаемые в каждый конкретный момент времени, и определяются объекты управления ИДП. При этом необходимо использовать современные методы исследования, учитывающие особенности условий функционирования предприятия и их влияние на его систему управления. В связи с этим реализуются процессы поиска и подбора методики исследования ИДП и выявления наиболее значимых показателей эффективности деятельности предприятия [6].
Выявление проблем в ходе реализации подпроцессов ИДП осуществляется на основе согласованности между качеством управления ими и степенью взаимного влияния друг на друга. Исследование проблем в ходе реализации подпроцессов ИДП дает возможность определить «узкие места» в ИДП и потенциальные риски в деятельности предприятия.
Выявление показателей эффективности реализации процесса ИДП и их исследование позволяет получить количественную оценку результативности инновационных процессов и выявить направления их оптимизации через идентификацию и сопоставление ключевых факторов, обеспечивающих инновационный рост предприятия.
Ключевым элементом представленного модели является укрупненный блок «Идеальная система управления инновационной деятельностью предприятия», представляющий целевую интегрированную систему управления ИДП. Перечисленные блоки составляют основу для осознания необходимости и принятия решения о построении идеального модели ИДП. После чего сведения о составе и содержании инновационных подпроцессов конкретизируются, и ложатся в основу их архитектуры с четкой визуализацией взаимосвязей между ними, определенными параметрами входящей и исходящей информации и идентификацией потенциальных направлений адаптации ИДП к внешним изменениям.

Построение процессов управления инновационной деятельности предприятия необходимо для контроля и мониторинга ИДП, четкости передачи информации от одного подпроцесса к другому, оптимизации путей их осуществления, достижения стратегических целей, повышения инновационного потенциала и конкурентоспособности предприятия [8].
Особое значение уделяется построению структуры инновационной деятельности предприятия. Здесь под воздействием экзогенных и эндогенных факторов раскрываются функциональные и системные взаимосвязи между инновационными подпроцессами, позволяющие своевременно осуществлять их корректировку на различных этапах жизненного цикла инновации.
Выходная информация этого блока является основой для блока «Разработка потенциала подпроцессов ИДП», где производится оценка потенциала инновационных подпроцессов и обосновывается актуальность выбора управленческих решений, связанных с выбором новых подпроцессов ИДП с учетом приоритетов развития конкретного предприятия [11]. По результатам проведенного исследования делается вывод о необходимости разработки предложений по развитию ИДП либо принимается решение о продолжении исследований ввиду отсутствия объективных причин для корректировки инновационных программ.
Процесс разработки предложений по развитию ИДП является отправной точкой для инжиниринга новых инновационных процессов и повышения инновационного потенциала предприятия. От качества и рациональности инновационных идей зависит влияние ИДП на эффективность деятельность предприятия в целом [5]. При этом важную роль играют новые подпроцессы, возникающие в результате трансформации инновационных предложений в конкретные проекты. В связи с этим определение и выбор новых подпроцессов ИДП необходимо производить исходя из целесообразности их внедрения, в том числе сочетаемости с существующими подпроцессами и влияния на текущую инновационную стратегию.
Разработка технологий реализации подпроцессов производится согласно базовой концепции и стратегии развития предприятия. Формируемые технологии должны учитывать связи между существующими подпроцессами и особенности выполнения однотипных процедур, регламентировать закрепление участников ИДП, ответственных за реализацию подпроцесса и решение поставленных задач.
Определение ожидаемых результатов развития ИДП позволит прогнозировать изменение основных показателей функционирования предприятия и его конкурентоспособности [19]. Учитывая несколько вариантов развития ИДП, возможно более точно оценить последствия от реализации новых подпроцессов и принять решение об их внедрении.
Внедрение новых подпроцессов ИДП сопровождается подробным описанием плана мероприятий с указанием ответственных лиц и сроков его исполнения, обязательным обучением и переобучением персонала, задействованного в решении поставленных задач. В зависимости от специфики и сложности последних могут быть приобретены и введены в эксплуатацию различные средства, обеспечивающие эффективность реализации новых подпроцессов.
Посредством расчета ключевых показателей ИДП определяются фактические результаты, отражающие качество реализованных управленческих воздействий, эффективность внедрения новых подпроцессов, их зависимость от действия экзогенных факторов и обоснование необходимости дальнейшего развития ИДП.
Сравнение ожидаемых и фактических результатов ИДП позволяет определить дальнейшие тенденции развития инновационной деятельности и принять соответствующие управленческие решения. При этом оценку текущих показателей необходимо производить с учетом их динамики в предыдущие периоды функционирования предприятия. Данная процедура базируется на основании утвержденной руководством предприятия методики.
Таким образом, авторская модель развития ИДП представляет собой сложную композицию основных элементов и взаимодействия между ними. Наличие содержания и связей всех структурных элементов инновационной деятельности предприятия дает возможность построения технологий их реализации с использованием адекватных инструментов и учетом компетенций специалистов предприятия.
Моделирование инновационной деятельности предприятия позволит не только повысить качество и результативность выполнения отдельных процедур, разработать типовые управленческие решения, но и сократить вероятность появления нестандартных ситуаций.
Предложенная авторами модель развития ИДП является важнейшим фактором формирования новых возможностей в рамках системы управления предприятием, что позволит оперативно решать возникающие проблемы, а также ставить и решать инновационные задачи, обеспечивающие экономический рост предприятия [14].
В условиях ограниченности ресурсов данная модель позволяет более точно и развернуто определить количество технических, трудовых и финансовых ресурсов для реализации программ инновационного проектирования конкретных предприятий. Регулярность мониторинга протекающих инновационных процессов позволит создать благоприятные условия для роста эффективности проектов развития предприятия.
Особо следует отметить, что предложенная модель позволяет улучшать технологическую оснащенность отдельных задач ИДП, повышая стабильность и устойчивость всей архитектуры инновационной деятельности промышленного предприятия в обозримом будущем.
1. Adizes I. K. Management of change. How to effectively manage changes in society, business and personal life / per. from English. - M.: Mann, Ivanov and Ferber. 2014. - 368 p.
2. Great economic dictionary / ed. A. N. Azriliana. 7-e Izd. Additional. - M.: Institute of new economy, 2008. - 1472 p.
3. Vasyaycheva V.A. Povyshenie urovnya konkurentosposobnosti predpriyatiy transportnogo mashinostroeniya na osnove upravleniya innovacionnymi proektami: monografiya. - Samara: Samarskiy nacional'nyy issledovatel'skiy universitet imeni akademika S.P. Koroleva, 2017. - 177 s.
4. Vasyaycheva V.A. Teoretiko-metodicheskie voprosy upravleniya konkurentosposobnost'yu promyshlennyh predpriyatiy: monografiya. - Samara: Izd-vo «Samarskiy universitet», 2016. - 160 s.
5. Vasyaycheva V.A. Osnovopolagayuschie faktory konkurentosposobnosti otechestvennoy promyshlennosti // Upravlencheskiy uchet. - 2016. - № 6. - S. 10-17.
6. Vasyaycheva V.A. Razvitie organizacionno-ekonomicheskogo mehanizma upravleniya promyshlennymi predpriyatiyami // Upravlencheskiy uchet. - 2016. - №12. - S. 3-11.
7. Vasyaycheva V.A., Sahabiev V.A., Sahabieva G.A. Ob odnom primenenii matematicheskih metodov v ekonomike // Osnovy ekonomiki, upravleniya i prava. - 2014. - №2 (14). - S. 96-99.
8. Vasyaycheva V.A., Sahabieva G.A., Sahabiev V.A. Analiz problem funkcionirovaniya predpriyatiy otrasli transportnogo mashinostroeniya RF // Vestnik Samarskogo gosudarstvennogo universiteta. - 2015. - №9-1(131). - S. 68-79.
9. Gerasimov B.N. Reinzhiniring processov organizacii. - M.: INFRA-M, 2016. - 256 s.
10. Gerasimov B.N. Modelirovanie vzaimodeystviya processov organizacii // Menedzhment i biznes-administrirovanie. - 2016. - №4. - S. 121-128.
11. Gerasimov B.N. Povyshenie effektivnosti upravlencheskoy deyatel'nosti na osnove optimizacii vzaimodeystviya ee elementov // Russian Journal of Management. - 2015. - T.3. - №.3. - C. 240-247.
12. Gerasimov B.N. Modelirovanie soderzhaniya i vzaimootnosheniy processov organizacii // Russian Journal of Management. - 2017. - T.5. - №4. - C. 549-557.
13. Gerasimov B.N. Mehanizm otnosheniy elementov struktury organizacii // Menedzhment i biznes-administrirovanie. - 2018. - №1. - S. 157-165.
14. Gerasimov B.N. Vyrabotka i vyraschivanie innovacionnyh idey na osnove kollektivnoy mysledeyatel'nosti // Kreativnaya ekonomika i social'nye innovacii. - 2016. - №4. - S. 20-33.
15. Glaz'ev S.Yu. Problemy razvitiya novyh tehnologiy v Rossii. - Rezhim dostupa: http://bourabai.kz/articles/glazev0.htm (Data obrascheniya: 11.06.2018g.).
16. Guiyar F.Zh., Kelli D.N. Preobrazovanie organizacii / per. s angl. - M.: Delo, 2000. - 376 s.
17. Kondrat'ev N.D. Bol'shie cikly kon'yunktury i teoriya predvideniya [Tekst] / - M.: Ekonomika, 2002. - 768 s.
18. Kuzyk B.N., Kushlin V.I., Yakovec Yu.V. Prognozirovanie, strategicheskoe planirovanie i nacional'noe programmirovanie - M.: Ekonomika, 2011. - 604 s.
19. Mischenko L.Ya., Arutyunov E.Yu. Formirovanie mehanizma upravleniya razvitiem promyshlennoy korporacii. - Krasnodar, 2002. - 128 s.
20. Piters T., Uotermen R. V poiskah effektivnogo upravleniya / per. s angl. - M.: Progress, 1985. - 357 s.
21. Reznik G.A. Formirovanie innovacionnogo myshleniya studentov -neobhodimoe uslovie modernizacii rossiyskoy ekonomiki // Drukerovskiy vestnik. - 2016. - № 4. - S. 41-54.
22. Sazykina O.A. Vnutrivuzovskaya sistema formirovaniya i razvitiya upravlencheskogo potenciala: dis. … kand. ekon. - Penza, 2004.
23. Sheko P. Innovacionnyy hozyaystvennyy mehanizm // Problemy teorii i praktiki upravleniya. - 1999. - №2. - S.71-78.
24. Gerasimov K, Gerasimov B. Formation of professionalism of executives // Inter-national Journal of Educational Management. 2017. - T.31. - №:1. -S.45-55.
25. Zhu L., Cheung S.O. Harvesting Competitiveness through Building Organizational Innovation Capacity // Journal of Management in Engineering. 2017. - 2017. 2017. - Vol. 33 2017. - №5. 04017020.



