from 01.04.2012 until now
Novocherkassk, Rostov-on-Don, Russian Federation
Novocherkassk, Rostov-on-Don, Russian Federation
Russian Library and Bibliographic Classification 308
V stat'e predlozhen metod rascheta nesuschey sposobnosti fundamenta sovmestno s gruntovym osnovaniem, gde rasschitano armirovanie plitnoy chasti fundamenta, pri kotorom razrushenie izgibom i prodavlivaniem proishodit pri odinakovoy predel'noy nagruzke s uchetom prochnostnyh harakteristik gruntovogo osnovaniya i neravnomernosti epyury kontaktnyh napryazheniy. V stat'e proveden analiz i sravnenie rezul'tatov raschetov po predlozhennomu i normativnomu metodu, a takzhe sravnenie s eksperimental'nymi dannymi.
: sistema «zhelezobetonnyy fundament – gruntovoe osnovanie», predel'naya nagruzka, predel'nyy izgibayuschiy moment, prodavlivanie
Строительные правила предусматривают расчет несущей способности грунтового основания по формуле (5.32) [1], где не учитываются прочностные характеристики железобетонного фундамента. Основой для формулы (5.32) послужила формула Терцаги, которая до сих пор применяется в Западной Европе в доработанном виде и продолжает оставаться объектом усовершенствований [2].
![]()
Железобетонный фундамент рассчитывается на продавливание и предельный изгибающий момент, в результате чего подбирается рабочая высота плитной части фундамента и её армирование [3]. Следует отметить, что расчет по формуле (5.32) применяется довольно редко, а размеры центрально-нагруженного фундамента, в соответствии с действующими нормами, определяются в предположении равномерно распределенной эпюры нормальных контактных напряжений под подошвой фундамента, интенсивность которых не должна превышать расчетного сопротивления грунтов основания R.
Независимо от грунтового основания железобетонный фундамент рассчитывается по правилам для железобетонных конструкций на продавливание и изгиб [4]. При этом считается, что контактные давления по подошве центрально-нагруженного фундамента распределены равномерно и при расчете несущей способности железобетонного фундамента не учитываются прочностные характеристики грунта.
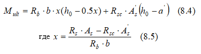
Предельный изгибающий момент для прямоугольного железобетонного сечения определяется площадью арматуры на погонный метр Аs и расстоянием h*=h0-x/2 от нее до центра сжатой зоны бетона x, согласно п.8.1.9 [4] находится по формуле 8.4.

Для ленточного железобетонного фундамента, армированного только в нижней части сечения (Рис.1.), формула (8.4) с учетом (8.5) будет выглядеть так (1):

Рис.1. Схема для определения предельного изгибающего момента
плитной части ленточного железобетонного фундамента
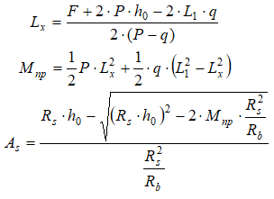
Предельное продавливающее усилие от жесткой части фундамента действующая на плитную часть без поперечной арматуры, согласно п.8.1.47[4] находится по формуле 8.88.

Для ленточного железобетонного фундамента, с плитной частью без поперечного армирования (Рис.2.), формула (8.88) с учетом (8.89) будет выглядеть так (2):

Рис.2. Схема для определения предельного продавливающего усилия
плитной части ленточного железобетонного фундамента
Из вышеприведенных нормативных расчетов предельных изгибающего момента и продавливающего усилия видно, что учтены характеристики бетона и арматуры, а характеристики грунтового основания не учитываются. Понятно, что несущая способность грунтового основания и железобетонного фундамента, согласно [1,4] различны.
Многочисленные лотковые эксперименты [4,5] показывают, что с ростом нагрузки на фундамент эпюра контактных давлений видоизменяется от вогнутой с наибольшими значениями под краями фундамента, похожей на эпюру упругого решения, до выпуклой с наибольшими значениями по оси нагрузки.
Нет нормативных документов, рассматривающих силовое взаимодействие железобетонного фундамента и грунтового основания. Не используется понятие несущей способности системы «железобетонный фундамент – грунтовое основание» и не учитывается экспериментально полученное распределение контактных напряжений под подошвой фундаментов.
Поиск предельной нагрузки для системы «железобетонный фундамент – грунтовое основание» возможен только в рамках модели теории идеальной пластичности, используемой непосредственно или в виде предельной поверхности текучести в моделях с упрочнением. Согласно предельному анализу пластических систем построение статически допустимых полей напряжений в грунтовом основании и железобетонном фундаменте порождает нижнюю оценку несущей способности системы «грунтовое основание – железобетонный фундамент». Таким образом, были получены оценки предельной нагрузки при разрушении железобетонного фундамента изгибом [6].
В дальнейшем из предположения, что в теле железобетонного фундамента статически допустимое поле напряжений существует, если максимальный изгибающий момент в плитной части фундамента не превышает предельного момента, а сдвигающие и растягивающие силы по поверхности призмы продавливания не превысят потенциальных удерживающих был доработан метод расчета несущей способности системы «грунтовое основание – железобетонный фундамент»[7].
Тестовые экспериментальные исследования в лотке машины МФ-1 показали [8], что разработанная методика расчета железобетонных фундаментов правильно оценивает экспериментальные значения предельной нагрузки.
В результате получился метод расчета системы «грунтовое основание – железобетонный фундамент», позволяющий при заданных геометрических размерах плитной и жесткой части прямоугольного фундамента, найти довольно точное значение предельной нагрузки, при рассчитанных оптимальном армировании и рабочей высоте плитной части.
Находим предельную нагрузку:

где прочностные характеристики грунта определяются в соответствии с условием прочности Кулона-Мора по следующим формулам:

Находим рабочую высоту плитной части:

Найдем предельную силу продавливания N:

Найдем величину армирования, при которой сила N – предельная на изгиб:

Находим предельные изгибающие моменты:
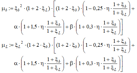
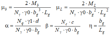
Находим коэффициенты для системы уравнений:
Решаем систему уравнений:

Вычисляем приведенные ширину и длину фундамента:
![]()
Вычисляем коэффициенты для формулы предельной нагрузки:

Вычисляем предельную нагрузку:

Проведем анализ результатов расчетов предельной несущей способности прямоугольного железобетонного фундамента нормативным методом и предложенным методом, а также несущей способности основания ограниченной расчетным сопротивлением грунтов основания R. Добавим, что сравнение с несущей способностью основания ограниченной расчетным сопротивлением грунтов основания R не совсем правомерно, так как в нашем случае мы находим предельную нагрузку, а в случае с расчетным сопротивлением грунтов основания R находим допустимую нагрузку, которые имеют различное смысловое значение. Сравнение выполняется для того, чтобы показать разницу между предельной и допустимой нагрузкой.
Для этого проведем расчет ряда прямоугольных фундаментов на песчаном основании с прочностными характеристиками: φI=30,08°, cI=27 кПа и плотностью 1,7 г/см3. Глубина заложения d=1,8 м и пригрузка фундамента соответственно q=30,6 кПа. Размеры жесткой части фундамента bg=0,9 м и Lg=0,3 м. Рабочая высота сечения h0=0,25 - 0,55 м. Расчетные сопротивления бетона класса В15: сжатию – Rb =8500 кПа, растяжению – Rbt =750 кПа. Расчетное сопротивление арматуры класса А400 растяжению Rs=360000 кПа. Ширина плитной части изменяется от 1,8 м до 2,7 м, длина плитной части 2,1 м до 3,3 м.
Результаты расчетов представим в табличном виде (табл. 1.и 2.).
Таблица 1
Сравнение результатов нормативных расчетов несущей способности основания и несущей способности системы «грунтовое основание – ж/б фундамент»
|
№ п/п |
Несущая способность, кН |
Новый метод с учетом |
Несущая способность по нормативному методу - формула (5.32), кН |
||
|
Размеры плитной части, мм |
Рабочая высота плиты, мм |
Армирование плитной части, см2 |
|||
|
1 |
6874 |
2100х1800 |
258 |
25,28(Ø18-11шт) 22,79 (Ø18-10шт) |
9295 |
|
2 |
7627 |
2400х1800 |
312 |
29,32 (Ø18-13шт) 25,22 (Ø18-10шт) |
10140 |
|
3 |
9493 |
2700х2100 |
434 |
36,17 (Ø20-14шт) 33,21 (Ø20-11шт) |
13470 |
|
4 |
11460 |
3000х2400 |
556 |
43,87 (Ø20-16шт) 41,48 (Ø22-13шт) |
17280 |
|
5 |
13510 |
3300х2700 |
677 |
51,90 (Ø20-17шт) 49,87 (Ø22-14шт) |
21550 |
Таблица 2
Результаты расчета допустимой нагрузки на основание ограниченной
расчетным сопротивлением грунтов основания R
|
№ п/п |
Произведение расчетного сопротивления грунта и площади подошвы R∙А |
||
|
Размеры плитной части, мм |
Армирование плитной части, см2 |
Допустимая нагрузка, кН |
|
|
1 |
2100х1800х300 |
11,31 (Ø12-10шт) 12,44 (Ø12-11шт) |
1902,5 |
|
2 |
2400х1800х300 |
15,39 (Ø14-10шт) 20,01 (Ø14-13шт) |
2174,3 |
|
3 |
2700х2100х600 |
22,12 (Ø16-11шт) 28,15 (Ø16-14шт) |
2955,2 |
|
4 |
3000х2400х600 |
33,09 (Ø18-13шт) 40,72 (Ø18-16шт) |
3882,2 |
|
5 |
3300х2700х600 |
35,63 (Ø18-14шт) 43,26 (Ø18-17шт) |
4963,2 |
Методика совместного расчета фундамента и грунтового основания с учетом изгиба и продавливания позволяет более точно определить предельную нагрузку на фундамент, что можно использовать для уменьшения стоимости железобетонных фундаментов за счет экономии арматурных стержней, бетона и трудозатрат. Рассмотрев полученные результаты, можно сделать вывод, что предельная нагрузка для прямоугольного фундамента, полученная предложенным методом, более точно отражает нижнюю оценку несущей способности, чем нормативные методы.
1. SP 22.13330.2011 «Osnovaniia zdanii i sooruzhenii». Aktualizirovannaia redaktsiia SNiP [Foundations of buildings and structures. Revised edition SNiP] 2.02.01-83. - M., 2011.
2. Van Baars, S. (2015) The Bearing Capacity of Footings on Cohesionless Soils, The Electronic Journal of Geotechnical Engineering, ISSN 1089-3032, Vol 20.
3. SP 63.13330.2012. Betonnye i zhelezobetonnye konstrukcii. Osnovnye polozheniya. Aktualizirovannaya redakciya SNiP [Concrete and reinforced concrete structures. Basic provisions. Revised edition SNiP] 52-01-2003. M: 2012.
4. Murzenko Y.N. Eksperimental'no-teoreticheskie issledovaniya silovogo vzaimo-dejstviya fundamentov i peschanogo osnovaniya [Experimental-theoretical studies of the force interaction of foundations and sand base]. Diss. dokt. tekhn. nauk. Novocherkassk. 1972.
5. Murzenko Iu.N., Evtushenko S.I. Eksperimental'nye issledovaniia raboty kraevoi zony sbornykh fundamentov pod otdel'nuiu kolonnu i setku kolonn na peschanom osnovanii. [Experimental research work the edge of prefabricated foundations zone under a separate column and column grid based on the sand] monografiia.- Rostov n/D. Izd-vo zhurn. «Izv. vuzov. Sev.-Kavk. region», 2008.- 248 s.
6. Dyba V.P. Otsenki nesushchei sposobnosti fundamentov: monografiia [Assessment of bearing capacity of foundations]/ Iuzh.-Ros. gos. tekhn. un-t.- Novocherkassk: IuRGTU, 2008.-200s.
7. Dyba V.P., Matvienko M.P. K raschetu vzaimodejstviya zhelezobetonnogo fundamenta s gruntovym osnovaniem pri predel'noj nagruzke [To the calculation of the interaction of the reinforced concrete foundation with the ground base under the maximum load] // Vestnik Permskogo nacional'nogo issledovatel'skogo politekhnicheskogo universiteta. Stroitel'stvo i arhitektura. - 2017. - T. 8, № 2. - S. 87-95. DOI:https://doi.org/10.15593/2224-9826/2017.2.08
8. Matvienko M.P., Dyba V.P., Al' Ekabi Khaki Khadi Abbud. Eksperiment po proverke novoi metodiki rascheta gibkikh zhelezobetonnykh fundamentov po nesushchei sposobnosti [Experimental verification of new methodology for calculating the flexible ferroconcrete foundation of the bearing capacity] // Izvestiia VUZov Severo-Kavkazskii region. - 2015; - №3. - S. 80-84.



