from 01.09.2017 to 01.08.2018
Novocherkassk, Rostov-on-Don, Russian Federation
CSCSTI 67.01
Russian Library and Bibliographic Classification 308
In this article, the evaluation criteria (general technical condition, durability, conditional reliability) of construction objects are considered on the example of a boiler house in Rostov-on-Don. On the basis of the system analysis, a classification of characteristics is made and classification of the parameters of the construction object is made, where the main errors in the design, construction and operation are identified, and the logical and probabilistic relationships between them are identified, which made it possible to establish the possibility of the onset of critical events and states that They create emergency situations (accidents). The estimated building management criteria allow the formation of a data bank with the help of which it is planned to calculate the criteria and make decisions when operating.
building reliability, durability, general technical condition, estimated criteria of technical condition management.
В настоящее время большое внимание уделяется управлению технического состояния строительных конструкций. При эксплуатации объектов недвижимости, требуются различные критерии оценки. Такими параметрами управления зданий и сооружений могут быть: надежность, общее техническое состояние, долговечность и т.д.
Оценка надежности зданий и сооружений позволяет качественно осуществлять их менеджмент, используя экспертные оценки специалистов различных сфер строительной деятельности.
Применение методов моделирования для технических систем, необходимо при описании взаимосвязи между элементами зданий и сооружений. На основании системного анализа составляется классификация основных характеристик строительных объектов, по которой определяются основные допущенные грубые ошибки при проектировании, строительстве и эксплуатации (рис. 2), а также выявляют логико-вероятностные связи между ними. Это позволяет установить возможность наступления критических событий и состояний, которые создают чрезвычайные ситуации (аварии). Общая структура сценария аварии для здания представлена на рисунке 1.

Рис.1. Схема происхождения аварии в здании (сооружении)
Практическая апробация критериев оценки управления была осуществлена на примере здания котельной в г. Ростов-на-Дону.
Объект находится в центральной части города, а его общее техническое состояние по результатам обследования строительных конструкций оценивается, как аварийное. При решении задачи управления зданий и сооружений необходимо выявление закономерностей. Для этого, мною рассмотрены два варианта объекта. Первый вариант предполагает невмешательство в техническое состояние здания, второй, напротив, предполагает сплошное восстановление строительных конструкций.
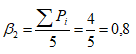
Условную надежность зданий или сооружения b определяют по формуле:

где Рi - удельная оценка надежности, получаемая умножением удельного веса условия на оценку в баллах. Полученные значения b сравнивают со шкалой оценок надежности, которые представлены в таблице 2.

Рис. 2. Классификация критериев и системы управления строительными конструкциями
Таблица 1
Экспертная оценка надежности зданий и сооружений

В ходе исследования определялась условная надежность здания b для двух вариантов (таблица 1):
- фактическое состояние здания котельной в г.Ростов-на-Дону;
- устранение дефектов и повреждений, перевод здания из аварийного в удовлетворительное, согласно категории технического состояния;
По данным предыдущих исследований [3], оценка надежности b определялась в соответствии с таблицей 2 [3].
Таблица 2
Шкала надежности и вероятности аварии объектов при экспертных оценках

По итогам расчетов получены следующие данные:
- вариант 1-
(недопустимая);
- вариант 2-
(удовлетворительная).
По данным обследования строительной конструкции, здание котельной находится в аварийном состоянии [3].
В соответствии с ранее проведенными исследованиями общая оценка поврежденности здания котельной для первого варианта равна
, для второго
[3].
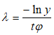
Срок эксплуатации конструкции до аварийного состояния определяется по формуле [3]:

где
- постоянная износа, определяемая по данным обследования на основании изменения несущей способности в момент обследования; у - относительная надежность, определяемая по категории технического состояния конструкции в зависимости от повреждений ; tj - срок эксплуатации в годах на момент обследования (104 года).
Для первого варианта
лет, так как уже наступило аварийное состояние. Для второго варианта
лет.
Сведем полученные результаты в таблицу 3.
Таблица 3
Банк данных критериев управления строительными конструкциями здания котельной

Проведя обследование здания, можно установить зависимость долговечности эксплуатации строительных конструкций от надежности и технического состояния.
При увеличении надежности на 33%,срок службы здания увеличивается на 55 лет, при этом общее техническое состояние здания, изменяется с аварийного в удовлетворительное, что позволяет развивать теорию управления строительных объектов. Располагая банком данных можно качественно осуществлять процесс управления техническими системами.
1. Klimenko M.Yu. Zagryaznenie territoriy gorodskoy zastroyki valovymi vybrosami v atmosferu i otkhodami pri stroitel’stve [Pollution of urban areas by gross emissions into the atmosphere and waste during construction]. Ekologiya urbanizirovannykh territoriy [Ecology of urbanized areas]. 2014, I. 4, pp. 68-70.
2. Klimenko M.Yu. Otsenka ushcherba okruzhayushchey srede ot stroitel’noy deyatel’nosti [Assessment of environmental damage from construction activities]. Izvestiya vuzov. Severo-Kavkazskiy region. Tekhnicheskie nauki [Izvestiya vuzov. North Caucasus region. Technical science]. 2015, I. 2, pp. 82-85.
3. Dobromyslov A.N. Rekomendatsii po otsenke nadezhnosti stroitel’nykh konstruktsiy zdaniy i sooruzheniy po vneshnim priznakam [Recommendations for assessing the reliability of building structures of buildings by external signs]. Moscow, TsNIIPromzdaniy Publ., 2001. 72 p.
4. Bondarenko V.L., Volosukhin V.A. Ekologicheskaya bezopasnost’ v stroitel’stve. Ekologicheskaya otsenka sostoyaniya basseynovykh geosistem [Ecological safety in construction. Environmental assessment of the state of basin geosystems]. Novocherkassk, 2011. 395 s.



