from 01.01.2018 until now
Sankt-Peterburg, St. Petersburg, Russian Federation
from 01.01.2019 until now
Sankt-Peterburg, St. Petersburg, Russian Federation
CSCSTI 06.39
Russian Classification of Professions by Education 38.05.01
Russian Library and Bibliographic Classification 6505
BISAC BUS044000 Economics / Microeconomics
The article consists of theoretical and empirical parts. In the theoretical part, the authors review domestic statistical models describing the level of economic crime and the factors that influence it. At the first stage of the empirical part, the authors compare the median values of the level of economic crime in the Federal districts of Russia from 2010 to 2019 and check the statistical significance of the differences. At the second stage, the impact of the unemployment rate, the amount of per capita income and their interaction on the level of economic crime in the country's regions is estimated. As a result of determining the impact of socio-economic factors on the crime rate, a grouping of Federal districts of Russia was carried out.
economic crime, factors of crime, federal district, regression analysis, Kruskal-Wallis test
Введение
Рост экономической преступности, прямо или косвенно, связан с деятельностью государства и с принимаемыми на высших уровнях власти управленческими решениями. При этом, исследование социально-экономических факторов имеет важное значение на многих этапах принятия управленческих решений в области противодействия экономическим преступлениям, начиная с анализа проблемы, и заканчивая контролем реализации решений и оценки результатов [14].
В силу своей многогранности, преступность может по-разному проявляться на различных территория и в разные временные периоды, поэтому наибольший интерес представляют исследования, в которых авторы изучают данные определенного территориального субъекта. Это повышает практическую значимость результатов, так как позволяет сделать конкретные выводы, за которыми могут последовать обоснованные управленческие решения [15].
Помимо этого, в России преступность имеет свои особенности. Во-первых, характер экономических и политических потрясений, произошедших в стране в 90е годы, свидетельствует о том, рассматривать зарегистрированные в тридцатилетний период (с 1990 по 2020 гг.) показатели преступности как единый временной ряд необходимо с большой осторожностью. Во-вторых, большая территория нашей страны и неравномерность регионального развития позволяют предположить, что оценка показателей преступности, характеризующих целую страну, может привести к упущению из вида важных различий и привести к неверным выводам.
Большинство криминометрических исследований можно подразделить на два направления: анализ динамики преступности и ее прогнозирование [2] и оценка детерминант преступности [1]. В настоящей работе мы сосредоточимся на второй задаче. Многообразие моделей, описывающих влияние различных факторов на показатели экономической преступности – результат большого числа проводимых исследований в этой области. Такие модели, в силу схожих исходных показателей и аналогии применяемых методов дают, в целом, сопоставимые результаты. Тогда, представляется возможным выделить показатели, которые оказывают наибольшее влияние на динамику экономической преступности. Выделение этих показателей и проверка их влияния на уровень экономической преступности по федеральным округам России в период с 2010 по 2019 год и формирует цель настоящего исследования. Для достижения этой цели будут использоваться две группы методов - статистические тесты, оценивающие различия между выборками, и регрессионный анализ.
Обзор литературы
Факторы и последствия экономической преступности фигурируют как объекты многолетнего изучения в работах множества зарубежных исследователей [16, 18, 19, 20], однако в последние годы появляются работы отечественных ученых, которые используют эконометрические модели для оценки детерминант преступности.
Так, исследование факторов экономической преступности в регионах Российской Федерации проводит И.В. Рубцов [7]. Автор приходит к выводу, что в большинстве регионов в исследуемый период (2011-2016 гг.) уровень экономической преступности снижается под воздействием некоторых причин. При построении множественной регрессионной модели, в которой в качестве отклика выступает количество зарегистрированных преступлений экономической направленности, автор останавливает свой выбор на следующих предикторах: оборот розничной торговли, инвестиции в основной капитал, численность безработных, мощность медицинского обеспечения, объем информации, переданной с помощью сети Интернет.
В.А. Чирков [8], применяя корреляционный анализ, выявил, что между размером материального ущерба от преступлений против собственности и среднедушевыми денежными доходами населения, а также величиной прожиточного минимума существует сильная положительная связь. М.В. Богданова [3, С. 55], исследуя отечественные данные с 2010 по 2017 гг., с помощью корреляционного анализа выявила слабую связь между уровнем преступности и уровнем безработицы и величиной среднедушевых доходов населения с величиной ниже прожиточного минимума. Вместе с тем, в авторской регрессионной модели, указанные предикторы объясняют 87,3% дисперсии уровня преступности в России.
В другом исследовании [5] выделены пять наиболее значимых факторов, влияющих на число зарегистрированных преступлений экономической направленности: численность безработных, оборот розничной торговли на душу населения, среднемесячные доходы в расчете на душу населения, число прибывших мигрантов из государств-участников СНГ, задолженность по налогам и сборам в консолидированный бюджет России. В результате использования регрессионного анализа было выявлено, что выбранные автором факторы на 77% объясняют вариацию показателя «численность зарегистрированных экономических преступлений». Особое внимание в работе уделено безработице, поскольку исходя из построенной модели, рост безработицы на 1% на 0,57% предопределяет рост преступлений экономической направленности.
Похожее исследование было произведено К.Н. Горпинченко [4]. Среди факторов преступлений экономической направленности кроме численности населения, безработицы, средней заработной платы и оборота торговли автор добавил в свою модель количество разводов. По оценке исследователя указанные факторы на 94,5% обуславливают число экономических преступлений. В то же время, модель показала слабое влияние уровня безработицы на количество экономических преступлений по сравнению с остальными факторами (r = 0,64).
С.Р. Романов в своей работе [13] приходит к выводу, что преступления экономической направленности имеют достаточно ярко выраженный сезонный характер. При этом фактор сезонности показывает высокую стабильность своего влияния на протяжении длительного временного промежутка.
Как видно из анализа литературы, значительное число исследователей остановили свое внимание на таких факторах, как уровень безработицы и уровень доходов населения, при этом нельзя сделать однозначный вывод о силе и характере их влияния на уровень экономической преступности. Кроме того, в некоторых исследованиях безработица, как и уровень экономической преступности рассматривалась в абсолютных, а не в относительных величинах, что, на наш взгляд, могло исказить полученные результаты.
Описание данных
Учитывая цель исследования, в работе используем следующие показатели: относительный уровень экономической преступности (коэффициент экономической преступности), который рассчитан авторами как отношение количества зарегистрированных преступлений экономической направленности [11] к населению соответствующего федерального округа (на 100 тыс. человек); значение уровня безработицы населения в возрасте 15-72 лет; среднедушевые денежные доходы населения [10]. Значения показателей представлены в разрезе следующих федеральных округов Российской Федерации: Центральный (ЦФО), Северо-Западный (СЗФО), Южный (ЮФО), Северо-Кавказский (СКФО), Приволжский (ПФО), Уральский (УФО), Сибирский (СФО), Дальневосточный (ДФО). Для каждого федерального округа использовались ежегодные данные описанных выше показателей за период 2010-2019 гг. (Таблица 1).
Таблица 1 – Исходные данные для анализа
|
Год |
Уровень преступности |
Уровень безработицы населения в возрасте 15-72 лет, % |
Среднедушевые денежные доходы населения, руб/мес |
Год |
Уровень преступности |
Уровень Безработицы населения в возрасте 15-72 лет, % |
Среднедушевые денежные доходы населения, руб/мес |
|
Центральный федеральный округ |
Северо-Западный федеральный округ |
||||||
|
2010 |
184,82 |
4,6 |
24 689 |
2010 |
176,04 |
5,9 |
19 877 |
|
2011 |
132,16 |
4,1 |
27 097 |
2011 |
119,18 |
5,1 |
21 232 |
|
2012 |
111,33 |
3,1 |
30 018 |
2012 |
92,73 |
4,0 |
23 453 |
|
2013 |
95,95 |
3,3 |
33 499 |
2013 |
76,28 |
4,3 |
25 490 |
|
2014 |
66,98 |
3,1 |
34 825 |
2014 |
64,82 |
4,1 |
27 778 |
|
2015 |
67,53 |
3,5 |
38 832 |
2015 |
67,51 |
4,7 |
31 253 |
|
2016 |
65,42 |
3,5 |
40 200 |
2016 |
64,53 |
4,6 |
32 822 |
|
2017 |
67,16 |
3,2 |
41 897 |
2017 |
67,03 |
4,2 |
34 299 |
|
2018 |
72,85 |
2,9 |
43 687 |
2018 |
70,05 |
3,9 |
36 163 |
|
2019 |
70,09 |
2,9 |
46 917 |
2019 |
60,83 |
3,6 |
37 993 |
|
Приволжский федеральный округ |
Уральский федеральный округ |
||||||
|
2010 |
169,53 |
7,6 |
15 854 |
2010 |
218,24 |
8,0 |
21 832 |
|
2011 |
140,38 |
6,5 |
17 296 |
2011 |
179,20 |
6,8 |
23 908 |
|
2012 |
128,17 |
5,3 |
19 680 |
2012 |
152,75 |
6,0 |
26 304 |
|
2013 |
87,33 |
4,9 |
21 639 |
2013 |
124,98 |
5,7 |
28 719 |
|
2014 |
67,10 |
4,5 |
23 599 |
2014 |
66,10 |
5,8 |
29 997 |
|
2015 |
64,25 |
4,8 |
26 100 |
2015 |
64,89 |
6,2 |
32 726 |
|
2016 |
62,87 |
4,8 |
25 615 |
2016 |
65,80 |
6,1 |
32 907 |
|
2017 |
61,66 |
4,7 |
25 987 |
2017 |
64,15 |
5,6 |
33 643 |
|
2018 |
67,54 |
4,4 |
26 688 |
2018 |
74,35 |
4,7 |
34 955 |
|
2019 |
69,19 |
4,1 |
28 276 |
2019 |
62,27 |
4,1 |
36 923 |
|
Сибирский федеральный округ |
Дальневосточный федеральный округ |
||||||
|
2010 |
153,25 |
8,7 |
15 007 |
2010 |
170,17 |
8,6 |
20 829 |
|
2011 |
111,25 |
8,1 |
16 568 |
2011 |
95,12 |
7,4 |
22 887 |
|
2012 |
107,76 |
7,1 |
18 474 |
2012 |
69,89 |
6,7 |
25 511 |
|
2013 |
84,88 |
7,2 |
20 108 |
2013 |
69,18 |
6,5 |
28 210 |
|
2014 |
67,22 |
7,0 |
21 256 |
2014 |
58,27 |
6,4 |
31 125 |
|
2015 |
72,03 |
7,7 |
23 535 |
2015 |
66,08 |
6,3 |
35 019 |
|
2016 |
65,29 |
8,0 |
23 815 |
2016 |
66,93 |
5,8 |
35 785 |
|
2017 |
60,36 |
7,3 |
24 532 |
2017 |
66,13 |
5,6 |
36 947 |
|
2018 |
62,69 |
6,4 |
25 642 |
2018 |
57,89 |
6,3 |
35 478 |
|
2019 |
58,74 |
5,8 |
27 002 |
2019 |
56,10 |
6,3 |
37 791 |
|
Южный федеральный округ |
Северо-Кавказский федеральный округ |
||||||
|
2010 |
201,45 |
7,6 |
15 114 |
2010 |
125,87 |
16,5 |
13 295 |
|
2011 |
117,73 |
7,0 |
16 584 |
2011 |
109,38 |
14,5 |
15 089 |
|
2012 |
100,82 |
6,2 |
18 864 |
2012 |
109,06 |
13,1 |
17 187 |
|
2013 |
82,86 |
6,5 |
21 563 |
2013 |
103,73 |
13,0 |
18 616 |
|
2014 |
75,80 |
6,2 |
23 997 |
2014 |
79,84 |
11,2 |
20 332 |
|
2015 |
89,27 |
6,7 |
25 317 |
2015 |
94,41 |
11,1 |
22 544 |
|
2016 |
73,31 |
6,4 |
26 435 |
2016 |
88,89 |
11,0 |
22 275 |
|
2017 |
66,46 |
6,0 |
27 348 |
2017 |
78,46 |
11,0 |
23 018 |
|
2018 |
63,17 |
5,6 |
28 475 |
2018 |
72,33 |
10,5 |
23 253 |
|
2019 |
62,48 |
5,3 |
29 958 |
2019 |
73,32 |
11,1 |
24 446 |
Сравнение уровня экономической преступности
Визуализируем имеющиеся данные, выделив медианные значения коэффициента экономической преступности по федеральным округам за исследуемый период с помощью диаграммы размаха (рисунок 1).

Рисунок 1 - Диаграмма размаха коэффициента экономической преступности в разрезе федеральных округов России
На графике заметно, что наибольшая дисперсия значений коэффициента экономической преступности в исследуемый период наблюдается в Уральском федеральном округе. Вместе с тем, определенные выбросы имеются в данных Дальневосточного, Северо-Западного, Центрального и Южного федеральных округов. Преобладающая часть медианных значений коэффициента экономической преступности по регионам расположена в районе 70, а наибольшее значение наблюдается в Северо-Кавказском федеральном округе.
Несмотря на то, что медианные значения отличаются в разных регионах, для ответа на вопрос, является ли это отличие случайным, необходимо оценить его статистическую значимость. Традиционно, для оценки различий между тремя и более группами применяется дисперсионный анализ, который, как параметрический метод, требует соблюдения условия нормальности распределения данных в исследуемых выборках [6, С. 295]. Проверка соблюдения этого условия в наших данных с использованием критерия Шапиро-Уилка показала, что мы не можем отвергнуть нулевую гипотезу при уровне значимости 0.05 для всех федеральных округов, кроме Северо-Кавказского. То есть, практически во всех выборках распределение значений не соответствует нормальному закону. Тогда оценка различия между группами будет основываться не на сравнении средних, а на сравнении медианных значений, для чего применим H-критерий Краскела-Уоллиса [17]. Результаты теста позволяют сделать вывод о том, что изменения уровня экономической преступности в зависимости от федерального округа статистически незначимы (H=7.6004, df = 7, p=0.3691).
Оценка влияния независимых переменных
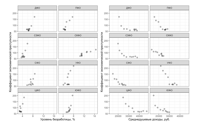
Следующий этап исследования заключается в оценке влияния уровня безработицы и уровня доходов на уровень экономической преступности. Проведем первичную оценку наличия связи между переменными, используя диаграммы рассеивания (рисунок 2).

Рисунок 2 - Сопоставление значений исследуемых переменных
Можно утверждать, что, в целом, по регионам, уровень безработицы положительно связан с уровнем преступности, и отрицательно - с размером среднедушевых доходов населения. При этом, для большинства федеральных округов связи между этими факторами носят, скорее, нелинейный характер. Исключение составляет Уральский федеральный округ, для которого модели парной линейной регрессии, описывающие зависимость уровня экономической преступности, могли бы хорошо объяснить дисперсию зависимой переменной. Это косвенно подтверждает наличие особенностей экономической преступности в каждом регионе, зависимости ее уровня от множества факторов. Попробуем получить более значимые и интерпретируемые результаты с помощью построения модели множественной регрессии для каждого федерального округа (Таблица 2).
Таблица 2 - Оценка параметров и качества построенных моделей
|
|
Зависимая переменная: |
|||||||
|
|
Уровень экономической преступности |
|||||||
|
|
УФО |
ЦФО |
СЗФО |
ПФО |
СФО |
СКФО |
ДФО |
ЮФО |
|
Пересечение |
68.91 |
-339.29** |
-278.89*** |
-33.18 |
-225.27 |
146.04 |
-744.38*** |
-746.83** |
|
|
(165.23) |
(-227.51) |
(-278.89) |
(131.57) |
(75.71) |
(85.76) |
(-681.11) |
(-38.88) |
|
|
|
|
|
|
|
|
|
|
|
Уровень безработицы |
65.73* |
164.69*** |
119.47*** |
60.69* |
59.07** |
-2.97 |
127.12*** |
140.03*** |
|
|
(50.29) |
(130.91) |
(99.96) |
(13.38) |
(19.47) |
(3.33) |
(117.02) |
(29.05) |
|
|
|
|
|
|
|
|
|
|
|
Среднедушевые доходы |
2.89 |
12.44** |
13.44*** |
7.21 |
12.33 |
-8.26 |
24.19*** |
27.03** |
|
(тыс. рублей) |
(-0.1) |
(8.61) |
(10.06) |
(-4.72) |
( -0.05) |
(-1.66) |
(21.48) |
(0) |
|
|
|
|
|
|
|
|
|
|
|
Взаимодействие |
-2.51** |
-4.8*** |
-3.72*** |
-3.07 |
-2.5** |
0.62 |
-3.83*** |
-4.67*** |
|
|
(-2.02) |
(-3.62) |
(-2.94) |
(0) |
(-0.85) |
(0) |
(-3.39) |
(-0.36) |
|
Наблюдения |
10 |
10 |
10 |
10 |
10 |
10 |
10 |
10 |
|
R2 |
0.951 |
0.951 |
0.953 |
0.948 |
0.941 |
0.889 |
0.984 |
0.938 |
|
Скор. R2 |
0.926 |
0.926 |
0.929 |
0.922 |
0.912 |
0.833 |
0.975 |
0.906 |
|
D-W статистика |
2.4222 |
2.427 |
2.4129 |
2.0726 |
3.029 |
1.9562 |
2.1155 |
3.3634 |
|
W статистика |
0.6698*** |
0.8954 |
0.9352 |
0.9469 |
0.9326 |
0.9335 |
0.9438 |
0.9232 |
|
F статистика (df = 3; 6) |
38.767*** |
38.635*** |
40.483*** |
36.561*** |
32.003*** |
15.979*** |
120.109*** |
30.002*** |
|
Штрафной коэффициент λ |
0.8538 |
0.1902 |
0.1896 |
3.7693 |
1.9888 |
3.9122 |
0.0581 |
11.0323 |
|
Примечание: |
*p<0.1; **p<0.05; ***p<0.01 |
|||||||
По столбцам таблицы 2 отражены оценки коэффициентов, полученные с помощью метода наименьших квадратов для каждого федерального округа, в скобках - значения коэффициентов, полученные с помощью LASSO регрессии (необходимость использования LASSO регрессии описана далее). Надстрочными астерисками показаны значения p-value коэффициентов, оцененные с помощью t-критерия Стьюдента (см. Примечание к таблице 2). Тестирование остатков моделей с помощью критерия Дарбина-Уотсона (D-W) показало, что остатки не коррелированы между собой. Применение критерия Шапиро-Уилка (W) продемонстрировало, что для всех федеральных округов, кроме Уральского, остатки моделей распределены по нормальному закону.
Отметим, что в качестве предикторов использовались не только уровень безработицы и величина среднедушевых доходов населения, но и взаимодействие этих двух факторов. Включение в уравнения взаимодействия безработицы и величины доходов населения в качестве отдельного предиктора и оценка его коэффициента позволяет сделать вывод о том, что значение уровня экономической преступности зависит от фиксированного уровня безработицы по-разному при разных величинах доходов населения.
Значения F-статистики свидетельствует о том, что все полученные уравнения статистически значимы, однако коэффициенты в некоторых моделях статистической значимостью не обладают. В частности, в модели Северо-Кавказского федерального округа все коэффициенты незначимы. При этом, скорректированный R2 по всем моделям показывает, что отобранные признаки достаточно хорошо объясняют дисперсию уровня экономической преступности в анализируемом периоде, что является косвенным признаком нестрогой мультиколлинеарности [9, С. 111].
Действительно, показатели безработицы и дохода за рассматриваемый период имеют достаточно тесную обратную корреляцию во всех федеральных округах (-0,68 < r < -0,87), а построенные модели - высокий коэффициент вздутия дисперсии (при оценке каждой независимой переменной VIF > 20). Это свидетельствует о неточности оценок параметров моделей, что не позволяет сделать достоверные выводы о влиянии регрессоров на зависимую переменную. Для преодоления мультиколлинеарности и получения скорректированных оценок коэффициентов введем в наши модели штрафы, применив LASSO регрессию. Значение штрафного коэффициент λ определено с помощью метода кросс-валидации с использованием пакета “glmnet” для языка программирования R. Для цели исследования выберем максимальные λ, при которых происходят небольшие увеличения квадратов ошибок. Скорректированные оценки коэффициентов указаны в таблице 2 в скобках, в нижней части таблицы указаны значения штрафного коэффициента λ.
Результаты
Первый вывод, который можно сделать по итогам исследования, заключается в отсутствии значимых различий в относительных уровнях экономической преступности по федеральным округам Российской Федерации. Несмотря на то, что каждому региону присущи свои социально-экономические и культурные характеристики, медианное значение коэффициента экономической преступности в расчете на 100 тыс. населения по стране находится в диапазоне 70-80.
Второй вывод основывается на интерпретации полученных моделей и группировке федеральных округов по трем кластерам. Для регионов первой группы (Центральный, Северо-Западный и Дальневосточный федеральные округа) исходные уравнения, полученные методом наименьших квадратов, имеют значимые коэффициенты для всех предикторов. Корректировка оценок коэффициентов с помощью LASSO регрессии незначительно приближает их к нулю. Можно сделать вывод, что уровень экономической преступности в этих регионах хорошо объясняется уровнем безработицы и величиной среднедушевых доходов. При этом, более влиятельным предиктором является уровень безработицы.
Вторую группу составили (Сибирский, Уральский и Южный федеральные округа). Некоторые коэффициенты в моделях для этих регионов показали достаточный уровень значимости при использовании метода наименьших квадратов, однако корректировка незначимых коэффициентов сильно изменила их оценки. В частности, размер среднедушевых доходов населения перестал влиять на уровень экономической преступности в Южном федеральном округе. Построение моделей для таких регионов, очевидно, должно основываться на включении большего количества факторов.
В третий кластер вошли Приволжский и Северо-Кавказский федеральный округа, для которых не удалось определить значимые оценки коэффициентов. Вероятно, для оценки зависимостей между исходными показателями в данных регионах необходимо увеличить количество наблюдений.
Дискуссия
Таким образом, к использованию безработицы и доходов населения для оценки уровня экономической преступности необходимо подходить аккуратно. Интерпретация регрессионных моделей, построенных на основе отобранных факторов, в большинстве случаев не позволяет однозначно оценить уровень экономической преступности. Очевидно, что этот уровень зависит от большего числа факторов, которые могут быть включены в подобные уравнения. Более того, наблюдая сильную корреляцию между уровнем безработицы и среднедушевыми доходами населения, можно предложить использование метода главных компонент для построения качественных моделей.
Отдельно стоит сказать, что на результаты исследования может влиять и качество используемых данных. В частности, число зарегистрированных преступлений зачастую не способно описать реальный уровень преступности, что связано с особенностями учета, «палочной» системой работы подразделений по противодействию экономическим преступлениям [12].
Тем не менее, уровень экономической преступности является важным показателем экономической безопасности страны. Поэтому исследования социально-экономических факторов, влияющих на уровень экономической преступности, несомненно, перспективное направление научного поиска. Использование материалов подобных исследований чрезвычайно важно при принятия управленческих решений, касающихся вопросов противодействия экономической преступности.
1. Andrienko YU.V. V poiskah ob"yasneniya rosta prestupnosti v Rossii v perekhodnyj period: kriminometricheskij podhod // Ekonomicheskij zhurnal VSHE. - 2001. - №2. - S. 194-220.
2. Bogdanova M.V., Parshinceva L.S., Kvachko V.YU. Metodika modelirovaniya i prognozirovaniya prestupnosti v Rossijskoj Federacii // Pravovaya informatika. - 2019. - №4. - S. 50-62.
3. Bogdanova M.V., Parshinceva L.S. Metodika informacionno-statisticheskogo analiza prestupnosti v Rossijskoj Federacii // Pravovaya informatika. - 2018. - №3. - S. 47-59.
4. Gorpinchenko K. N., Petrov N.R. Ocenka urovnya prestupnosti v ekonomicheskoj sfere // Vektor ekonomiki. Ekonomicheskaya teoriya. - 2018. - № 5. - S. 95.
5. Dianov D.V., Lyapin A.E. Statisticheskaya ocenka faktorov sovremennoj ekonomicheskoj prestupnosti // Vestnik Moskovskogo universiteta MVD Rossii. - 2019. - №2. - S. 245-251
6. Eliseeva I.I., YUzbashev M.M. Obshchaya teoriya statistiki: Uchebnik / Pod red. I.I. Eliseevoj. - 5-e izd., pererab. i dop. - M.: Finansy i statistika, 2004. - 656 s
7. I.V. Rubcov Analiz faktorov rasprostraneniya ekonomicheskoj prestupnosti v regionah Rossijskoj Federacii // Vestnik ekonomicheskoj bezopasnosti. - 2017. - №4. - S. 139-144.
8. CHirkov V.A. Issledovanie prestuplenij protiv sobstvennosti na osnove dannyh regional'noj statistiki // Voprosy regional'noj ekonomiki. - 2020. - № 1 (42). - S. 148-158.
9. Magnus YA.R., Katyshev P.K., Pereseckij A.A. Ekonometrika. Nachal'nyj kurs: Ucheb. - 6-e izd., pererab. i dop. - M.: Delo, 2004. - 576 s.
10. Oficial'nyj sajt Federal'noj sluzhby gosudarstvennoj statistiki [Elektronnyj resurs] // Rezhim dostupa: https://www.gks.ru/ (data obrashcheniya 01.06.2020).
11. Portal pravovoj statistiki [Elektronnyj resurs] Rezhim dostupa: http://crimestat.ru (data obrashcheniya 04.06.2020).
12. Reutov V.E. Zinov'ev I.F. Problemy traktovki i issledovaniya ekonomicheskoj prestupnosti v Rossii // Pravo i sovremennye gosudarstva. - 2015. - № 2. - S. 103-112.
13. Romanov S.R. Strukturno-dinamicheskij analiz ekonomicheskih prestuplenij: statisticheskij aspekt // Intellekt. Innovacii. Investicii. - 2019. - № 5. - S. 129-135
14. Suglobov A.E., Ivanovskij V.S. Social'no-ekonomicheskoe razvitie ekonomiki Rossii na osnove postroeniya nacional'nyh innovacionnyh sistem // Vestnik Akademii ekonomicheskoj bezopasnosti MVD Rossii. - 2015. - № 4. - S. 63-78.
15. Dianov D.V., Suglobov A.E., Kuznetsova E.I., Rusavskaya A.V., Minakov A.V. Statistical toolkit for assessing the financial security of regions // International Journal of Engineering and Technology(UAE). - 2018. - T. 7. - № 3.15. - S. 230-232.
16. Eide E., Rubin P., Shepherd J. Economics of Crime // Foundations and Trends in Microeconomics. - Vol. 2. - №. 3 - 2006. - P. 11-114.
17. Kruskal W.H., Wallis W.A. Use of Ranks in One-Criterion Variance Analysis // Journal of the American Statistical Association. - 1952. - № 47. - P. 583-621.
18. Levitt S. Alternative Strategies for Identifying the Link Between Unemployment and Crime // Journal of Quantitative Criminology. 2001. - 17. - P. 377-390.
19. Nunley J., Seals R., Zietz J. The Impact of Macroeconomic Conditions on Property Crime [Elektronnyj resurs] Rezhim dostupa: http://econpapers.repec.org/paper/abnwpaper/ (data obrashcheniya 05.06.2020).
20. Bussmann Kai-D., Werle M. Addressing crime in companies: first findings from a global survey of economic crime // The British Journal of Criminology. - 2006. - Vol. 46. - №. 6. - P. 1128-1144.



