from 01.01.2019 until now
Platov South-Russian State Polytechnic University (NPI) (Obscheinzhenernye discipliny, professor)
from 01.01.1980 to 01.01.2019
Moscow, Russian Federation
Novocherkassk, Rostov-on-Don, Russian Federation
Novocherkassk, Rostov-on-Don, Russian Federation
Russian Federation
An express analysis of the ecological state of the soil during construction works is proposed. The algorithm is considered, which is the first approximation for describing the quality of the soil mixture, serving to build a system of operational recognition of the component composition of the soil mixture and the percentage of its main components. It is based on the analysis of the forced acoustic emission signal in the frequency domain to obtain the Fourier spectrum. From the general spectrum of the signal, consisting of a set of basic and higher (timbre) harmonics, subspectrs of significant basic harmonics corresponding to certain elements of the soil mixture are distinguished. To isolate the sub-spectra, a sequence of modal harmonics is used. The composition of the set of modal harmonics determines the qualitative composition of the soil in the first approximation.
construction works, express analysis, acoustic signal, Fourier spectrum, spectral-timbre subspectrum of frequencies, basic and modal harmonics, component composition of the soil
Введение
Оперативный контроль состояния почв урболандшафтов, определение их элементного состава и уровня загрязненности являются важным элементом системы экологической безопасности и мониторинга окружающей среды [1,2]. При организации этого контроля и проектировании приборов и систем для его проведения приходится решать следующие задачи: поиск набора быстро определяемых косвенных признаков, позволяющих оперативно судить об элементном составе почвы и процентном содержании примесей; разработка установки для экспресс – анализа компонентного состава почвы; разработка алгоритмов и программ для обработки результатов измерений. Для построения систем экспресс – анализа компонентного состава почвено – грунтовых смесей традиционно применяются алгоритмы, основанные на статистическом анализе результатов испытаний. При этом в качестве результатов используются оценки физико – химических параметров почв и электрических характеристик сигналов, генерируемых измерительными приборами. Одним из перспективных и динамично развивающихся методов экспресс – анализа физико – химического состава почв считается метод, основанный на явлении вынужденной акустической эмиссии [3]. При этом акустической эмиссией называют волновые процессы звукового диапазона, генерируемые при изменении механических, физических или химических параметров почвенно – грунтовой смеси. Акустическая эмиссия бывает естественной, возникающей в процессе свободного (за счет внутренних свойств и сил) движения частиц смеси или вынужденной, возникающей при воздействии на смесь внешних возмущающих сил. Для изучения свойств почв наибольший интерес представляет именно второй вид акустической эмиссии так, например, развитие волновых процессов в различных горизонтах почв зависит от их физико – химических свойств [4].
Объекты и методы исследования
Очевидно, что выбор конструкции установки для исследования почвенно – грунтовой смеси и параметры генерируемого ею возбуждающего сигнала, а также способ регистрации сигнала вынужденной акустической эмиссии во многом определяют успех эксперимента по исследованию почв и достоверность его результатов.

Рис.1 Образование сигнала вынужденной акустической эмиссии
Известно, что, точность определения физико – химических свойств почвенных горизонтов существенно зависит от правильного выбора рабочей частоты и формы сигналов возбудителя колебаний [5, 6]. При вибромеханическом возбуждении почвенных горизонтов наиболее оптимальными и легко реализуемыми можно считать сигналы прямоугольной формы. Рассмотрим кратко механизм возникновения и учета сигнала вынужденной акустической эмиссии [7]. Предположим, что механический импульс соударения частиц почвосмеси и подошвы возбудителя имеет вид прямоугольного импульса с конечным временем генерации. Сами частицы почвосмеси будем считать абсолютно твердыми телами ограниченных размеров. На рис.1 графически показан процесс образования итогового сигнала, регистрируемого на выходе преобразователя и являющегося основой для изучения.
В результате воздействия подошвы возбудителя на исследуемый грунт u(t) и его преобразования в материале смеси (передаточная функция материала W(x,t), где x – вектор физико – химических свойств почвосмеси) генерируется исходный импульс акустической эмиссии y0(t). Очевидно, что дисперсия волнового движения в материале кюветы f1(t) приводит к искажению формы сигнала и преобразованию его в зашумленный сигнал y1(t). Дополнительные изменения его формы вносят отраженные волны, обусловленные ограниченностью контактных площадок частиц и их размеров. Эти возмущающие воздействия обозначим f2(t), а образовавшийся в результате импульс – y2(t). И, наконец, на окончательный вид сигнала акустической эмиссии оказывает приемник - преобразователь, который при воздействии на него механических волн может возбуждаться на своей резонансной частоте и генерировать некоторый шумовой сигнал f3(t).
Результаты исследований
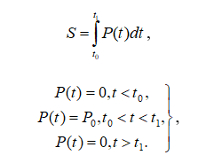
Для выполнения экспресс – анализа почвенно – грунтовых смесей в установке с электрическим преобразователем механических колебаний наиболее целесообразно рассматривать в качестве исследуемого параметра сигнала акустической эмиссии рассматривать его амплитуду:

где S – импульс силы удара частицы примеси о подошву возбудителя:

где t0 и t1 – границы временного интервала соударения.
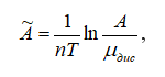
Характеризовать амплитуду импульса можно так же косвенно при помощи введения понятия суммарной амплитуды акустической эмиссии [8]. Если установить некоторый уровень дискриминации (ограничения) амплитуды сигнала и подсчитать количество n0 достижений этого уровня при регистрации сигнала АЭ (1), то суммарная амплитуда АЭ будет равна

где μдис – коэффициент дискриминации сигнала.
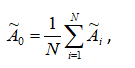
Таким образом, для определения качества почв возможно использование оценки уровня математического ожидания сигнала суммарной амплитуды акустической эмиссии, генерируемого в процессе регистрации массовых соударений частиц почвы и сдвигов почвенных горизонтов в месте установки контактного преобразователя сигнала и получаемых по цепочкам передачи виброакустического сигнала. Учитывая независимый характер возбуждения колебаний от отдельных частиц и слоев почвы оценку математического ожидания, можно выполнить по формуле:

где общее количество зарегистрированных импульсов акустической эмиссии N связано с временем выполнения оценки t0<t<t1. Аналогичным образом приблизительную оценку разброса дисперсности примесей можно выполнять путем вычисления в реальном времени среднеквадратического отклонения уровней суммарной амплитуды сигнала акустической эмиссии [9]:

Очевидно, что рассмотренный алгоритм можно считать только первым приближением для описания качества почвосмеси. Тем не менее, его вполне можно использовать для построения системы оперативного распознавания компонентного состава почвосмеси и процентного содержания основных ее составляющих. Более точный анализ состава почв может быть получен путем оценки не математического ожидания, а полной плотности распределения амплитуды сигнала вынужденной акустической эмиссии в частотной области. Такой оценкой распределения вполне можно считать дискретный спектр Фурье электрического сигнала, регистрируемого на выходе усилителя - преобразователя. Из общего спектра сигнала, состоящего из совокупности основных и высших (тембровых) гармоник, выделяют подспектры значимых основных гармоник, соответствующие определенным элементам почвосмеси. При этом значимыми считаются гармоники, отличные от шумовых и не отсеянные из состава сигнала в процессе аппаратной (аналоговой) или программной (цифровой) фильтрации. С целью ускорения процесса распознавания для выделения подспектров, используют последовательность модальных гармоник [10]:
![]()
где m - количество непересекающихся подспектров, принадлежащих отдельным элементам;
- соответственно частота и амплитуда модальной гармоники j – го подспектра.
По известным частотам модальных гармоник определяют частоты основных (образующих) гармоник подспектров:

, где R – множество простых чисел; kj – номер модальной гармоники j – го подспектра.
Подспектр элемента почвосмеси определяется на основании выделения основной гармоники, отвечающей за количественный и качественный характер. Далее используя отношение мощности подспектра исследуемого элемента почвосмеси к мощности полного спектра, вычисляют процентную концентрацию данного элемента, при этом исключают шумовые гармоники.
Первоначально из смеси, зарегистрированной на выходе усилителя – преобразователя, выделяется полезный сигнал. Это может быть выполнено при помощи процедуры фильтрации по известной полосе пропускания измерительного тракта и на основе информации о частотном спектре входящих в смесь элементов [11]. По априорной информации или по составу множества модальных гармоник определяется качественный состав почвы в первом приближении. Затем из базы данных считывается информация о подспектрах, соответствующих всем элементам, предположительно входящим в состав смеси. После этого определяются суммарные мощности реальных подспектров. Если эти мощности по уровню не превышают некоторый пороговый уровень, гипотеза о существовании данного элемента в смеси отбрасывается и элемент не учитывается. В случае, если значение суммарной амплитуды, относящейся к данному элементу, является существенным, вычисляется отношение этой амплитуды и амплитуды всего (полного) сигнала. Это отношение и можно считать оценкой процентного содержания элемента в изучаемой почвосмеси. На рисунке 2 показан эталонный спектр элемента типа «чистый суглинок». Для данного спектра выделяется ряд подспектров, по которым выполняется идентификация элемента в любой почвенно – грунтовой смеси и определение его процентного содержания. В качестве примера на рисунке б приведен подспектр для основной гармоники 3,7 кГц. В дальнейшем полученные результаты заносятся в базу данных системы и используются при идентификации элементов почв урболандшафтов.

Рис.2. а) спектр Фурье для эталонного элемента б) подспектр, соответствующий максимальной по амплитуде основной гармонике.
Выводы
Определить элементный состав, а также оценить содержание компонентов почвосмеси можно в два этапа:
1. Исследуются эталонные смеси, на основе которых используя ЭВМ и алгоритм оценивания составляется база данных, для тех или иных элементов которым соответствуют характеристики значимых подспектров.
2. Используя быстрое преобразование Фурье, преобразуется в спектр сигнал акустической эмиссии для исследуемой почвосмеси. Из полученного спектра выделяют отличные от шумовых модальные гармоники соответствующие эталонной базе данных. Затем для оценки концентрации элемента почвосмеси выделяется весь подспектр, состоящий из модальной основной и кратных им тембровых гармоник.
1. Sagajdak A.I. Perspektivnye napravleniya primeneniya metoda akusticheskoj emissii v stroitel'stve // Stroitel'nye materialy - 2018. - № 11 - P. 1-5.
2. Mityakova I.I., Medvedkova E.A., Egoshina E.YU., Tokareva N.A., Pavlova E.N. Ekologicheskoe sostoyanie pochvy urbanizirovannyh territorij obshchego i ogranichennogo pol'zovaniya pri landshaftnom analize ob"ektov Joshkar-Oly Respubliki Marij El // Mezhdunarodnyj zhurnal gumanitarnyh i estestvennyh nauk - 2017. - № 9 - P. 1-3.
3. Frolov A.V., Lepihova V.A., Lyashenko N.V., SHevchenko N.S. Bezopasnost' zhiznedeyatel'nosti i ohrana truda v stroitel'stve. Uchebnik dlya vuzov / Pod obshchej red. A.V. Frolova. Moskva, 2018. - 586 p.
4. Pustovojtova N.A., SHkuratnik V.L. Ispol'zovanie modificirovannogo rezonansno-akusticheskogo metoda v inzhenerno-geologicheskih izyskaniyah pri stroitel'stve metropolitena // Gornyj informacionno-analiticheskij byulleten' (nauchno-tekhnicheskij zhurnal) - 2008. - № 2 - P. 107-111.
5. Bondarenko V.A., Evtushenko S.I., Lepihova V.A., CHibinev N.N., Versilov S.O., Firsov V.V. Bezopasnost' zhiznedeyatel'nosti. Praktikum - Uchebnoe posobie / Moskva, 2019. - 150 p.
6. Demchishin YU.V., Voznesenskij A.S., Kuznecova T.I., Solodov A.M. Sovremennoe sostoyanie i tendencii razvitiya metoda akusticheskoj emissii dlya kontrolya deformirovaniya i razrusheniya gornyh porod // Gornyj informacionno-analiticheskij byulleten' (nauchno-tekhnicheskij zhurnal) - 2000. - № 3 - P. 1-7.
7. Evtushenko S.I., Krahmal'nyj T.A., Firsov V.V., Lepihova V.A., Kuchumov M.A. Novye sistemy nablyudeniya i kontrolya defektov i povrezhdenij stroitel'nyh konstrukcij. Stroitel'stvo i arhitektura. 2020. V. 8. № 1. P. 11-18.
8. Bendat Dzh., Pirsol A. Izmerenie i analiz sluchajnyh processov / Per. s angl. - M.: Mir, 1974. - 463p.
9. Ahmed N., Rao K.R. Ortogonal'nye preobrazovaniya pri obrabotke cifrovyh signalov. - M.: Svyaz', 1980. - 248 p.
10. Pat.2222807 RF, MPK - G01 N 29/02. Sposob obrabotki signalov akusticheskoj emissii generiruemyh dispersnyh sistem / Puresev A.I. Toropov O.A.Malyh E.A. Sorokin N.P. - Zayavl. 12.02.01; Opubl. 27.01.04, Byul.
11. Evtushenko S.I., Lepikhova V.A., Lyashenko N.V., Skrinnikov E.V. Identification of soils, grounds and lands strata using the acoustic spectral analysis // IOP Conference Series: Materials Science and Engineering. Construction and Architecture: Theory and Practice of Innovative Development" (CATPID-2020). 2020. C. 052043.




