from 01.04.2012 until now
Novocherkassk, Rostov-on-Don, Russian Federation
Russian Federation
The article proposes a method for calculating the bearing capacity of the foundation together with the soil base, where the reinforcement of the slab part of the foundation is calculated, in which the destruction by bending and punching occurs at the same ultimate load, taking into account the strength characteristics of the soil base and the non-uniformity of the contact stress diagram. For this method, calculations were carried out for various types of soils and the scope of its application was determined.
scope, "reinforced concrete foundation - soil foundation" system, ultimate load, ultimate bending moment, punching
Многочисленные исследования несущей способности грунтовых оснований показали, что не всегда возможно применение разработанного метода для всех типов грунтов. В этой области исследования стоит упомянуть работы Богомолова А.Н.[1], Дыбы В.П.[10], Евтушенко С.И.[2], Федоровского В.Г.[3], Мирсаяпова И.Т.[4], Караулова А.М.[5] и др.
Строительные правила предусматривают расчет несущей способности грунтового основания по формуле (5.32) [6], где не учитываются прочностные характеристики железобетонного фундамента.
![]()
Железобетонный фундамент рассчитывается на продавливание и предельный изгибающий момент, в результате чего подбирается рабочая высота плитной части фундамента и её армирование [7]. Следует отметить, что расчет по формуле (5.32) применяется довольно редко, а размеры центрально-нагруженного фундамента, в соответствии с действующими нормами, определяются в предположении равномерно распределенной эпюры нормальных контактных напряжений под подошвой фундамента, интенсивность которых не должна превышать расчетного сопротивления грунтов основания R.
Многочисленные лотковые эксперименты [8,9] показывают, что с ростом нагрузки на фундамент эпюра контактных давлений видоизменяется от вогнутой с наибольшими значениями под краями фундамента, похожей на эпюру упругого решения, до выпуклой с наибольшими значениями по оси нагрузки.
Нет нормативных документов, рассматривающих силовое взаимодействие железобетонного фундамента и грунтового основания. Не используется понятие несущей способности системы «железобетонный фундамент – грунтовое основание» и не учитывается экспериментально полученное распределение контактных напряжений под подошвой фундаментов.
Поиск предельной нагрузки для системы «железобетонный фундамент – грунтовое основание» возможен только в рамках модели теории идеальной пластичности, используемой непосредственно или в виде предельной поверхности текучести в моделях с упрочнением. Согласно предельному анализу пластических систем построение статически допустимых полей напряжений в грунтовом основании и железобетонном фундаменте порождает нижнюю оценку несущей способности системы «грунтовое основание – железобетонный фундамент». Таким образом, были получены оценки предельной нагрузки при разрушении железобетонного фундамента изгибом [10].
В дальнейшем из предположения, что втеле железобетонного фундамента статически допустимое поле напряжений существует, если максимальный изгибающий момент в плитной части фундамента не превышает предельного момента, а сдвигающие и растягивающие силы по поверхности призмы продавливания не превысят потенциальных удерживающих был доработан метод расчета несущей способности системы «грунтовое основание – железобетонный фундамент»[11].
Тестовые экспериментальные исследования в лотке машины МФ-1 показали [12], что разработанная методика расчета железобетонных фундаментов правильно оценивает экспериментальные значения предельной нагрузки.
В результате получился метод расчета системы «грунтовое основание – железобетонный фундамент», позволяющий при заданных геометрических размерах плитной и жесткой части прямоугольного фундамента, найти довольно точное значение предельной нагрузки, при рассчитанных оптимальном армировании и рабочей высоте плитной части.
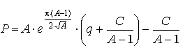
Находим предельную нагрузку:

где прочностные характеристики грунта определяются в соответствии с условием прочности Кулона-Мора по следующим формулам:

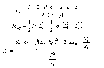
Находим рабочую высоту плитной части:

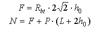
Найдем предельную силу продавливания N:

Найдем величину армирования, при которой сила N – предельная на изгиб:

Находим предельные изгибающие моменты:
![]()
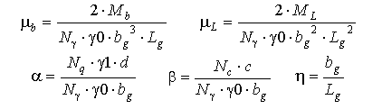
Находим коэффициенты для системы уравнений:

Решаем систему уравнений:

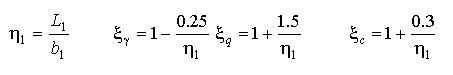
Вычисляем приведенные ширину и длину фундамента:
![]()
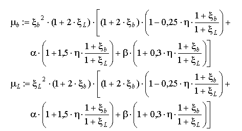
Вычисляем коэффициенты для формулы предельной нагрузки:

Вычисляем предельную нагрузку:
![]()
Методика совместного расчета фундамента и грунтового основания с учетом изгиба и продавливания позволяет более точно определить предельную нагрузку на фундамент, что можно использовать для уменьшения стоимости железобетонных фундаментов за счет экономии арматурных стержней, бетона и трудозатрат. Рассмотрев полученные результаты, можно сделать вывод, что предельная нагрузка для прямоугольного фундамента, полученная предложенным методом, более точно отражает нижнюю оценку несущей способности, чем нормативные методы.
Для определения области применения данной методики выполним расчет фундамента на различных типах грунтового основания и сведем данные в таблицу 1. Значения прочностных характеристик грунта: удельного сцепления сn и угла внутреннего трения φn приняты по приложению 1 «Нормативные значения прочностных и деформационных характеристик грунтов» СП [6].
Параметры фундамента:
Ширина плитной части фундамента (b): 1,7м;
Длина плитной части фундамента (L): 1,7м;
Ширина жесткой части фундамента (b1): 0,6м;
Длина жесткой части фундамента (L1): 0,6м;
Глубина заложения фундамента (d): 2,9м;
Расчетное сопротивление арматуры растяжению (Rs): 360000 кПа;
Удельный вес грунта выше подошвы фундамента (g0): 19,1 кН/м3;
Удельный вес грунта ниже подошвы фундамента (g0): 19,6 кН/м3;
Расчетное сопротивление бетона сжатию (Rb): 8500 кПа;
Расчетное сопротивление бетона растяжению (Rbt): 750 кПа;
Таблица 1
Значения предельной нагрузки
|
Тип грунта |
Прочностные характеристики грунтов: с, кПа; φ° |
Предельная нагрузка по усовершенствованному расчету, кН |
Предельная нагрузка по расчету СП 22.13330.2016, кН |
|
|
Глинистые нелессовые грунты |
Супеси |
cn = 21, φn = 30 |
3.246 х103 |
2.315 х 103 |
|
cn = 17, φn = 29 |
2.813 х 103 |
1.985 х 103 |
||
|
cn = 15, φn = 27 |
2.343х 103 |
1.570х 103 |
||
|
cn = 13, φn = 24 |
1.714 х 103 |
1.088 х 103 |
||
|
cn = 19, φn = 28 |
2.694 х 103 |
1.816 х 103 |
||
|
cn = 15, φn = 26 |
2.115 х 103 |
1.385 х 103 |
||
|
cn = 13, φn = 24 |
1.624 х 103 |
1.056 х 103 |
||
|
cn = 11, φn = 21 |
1.281 х 103 |
777.9 |
||
|
cn = 9, φn = 18 |
888.0 |
556.9 |
||
|
Суглинки |
cn = 47, φn = 26 |
4.042 х 103 |
2.358 х 103 |
|
|
cn = 37, φn = 25 |
3.29 х 103 |
1.836 х 103 |
||
|
cn = 31, φn = 24 |
2.859 х 103 |
1.554 х 103 |
||
|
cn = 25, φn = 23 |
2.412 х 103 |
1.291 х 103 |
||
|
cn = 22, φn = 22 |
2.083 х 103 |
1.114 х 103 |
||
|
cn = 19, φn = 20 |
1.643 х 103 |
849.0 |
||
|
cn = 39, φn = 24 |
3.252 х 103 |
1.761 х 103 |
||
|
cn = 34, φn = 23 |
2.879 х 103 |
1.51 х 103 |
||
|
cn = 28, φn = 22 |
2.45 х 103 |
1.251 х 103 |
||
|
cn = 23, φn = 21 |
2.006 х 103 |
1.032 х 103 |
||
|
cn = 18, φn = 19 |
1.510 х 103 |
772.2 |
||
|
cn = 15, φn = 17 |
1.204 х 103 |
607.6 |
||
|
cn = 25, φn = 19 |
1.881 х 103 |
902.5 |
||
|
cn = 20, φn = 18 |
1.536 х 103 |
750.5 |
||
|
cn = 16, φn = 16 |
1.171 х 103 |
567.7 |
||
|
cn = 14, φn = 14 |
2.437 х 103 |
453.8 |
||
|
cn = 12, φn = 12 |
1.608 х 103 |
579.2 |
||
|
Глины |
cn = 81, φn = 21 |
4.436 х 103 |
2.261 х 103 |
|
|
cn = 68, φn = 20 |
2.852 х 103 |
1.107 х 103 |
||
|
cn = 54, φn = 19 |
3.127 х 103 |
1.442 х 103 |
||
|
cn = 47, φn = 18 |
2.766 х 103 |
1.226 х 103 |
||
|
cn = 41, φn = 16 |
2.285 х 103 |
956.3 |
||
|
cn = 36, φn = 14 |
1.872 х 103 |
758.1 |
||
|
cn = 57, φn = 18 |
3.109 х 103 |
3.402 х 103 |
||
|
cn = 50, φn = 17 |
2.753 х 103 |
1.187 х 103 |
||
|
cn = 43, φn = 16 |
2.369 х 103 |
987.4 |
||
|
cn = 37, φn = 14 |
1.911 х 103 |
771.8 |
||
|
cn = 32, φn = 11 |
1.488 х 103 |
567.7 |
||
|
Песчаные грунты
|
Гравелистые и крупные |
cn = 2, φn = 43 |
6.369 х 103 |
9.191 х 103 |
|
cn = 1, φn = 40 |
4.053 х 103 |
5.172 х 103 |
||
|
cn = 0, φn = 38 |
3.349 х 103 |
4.050 х 103 |
||
|
Средней крупности |
cn = 3, φn = 40 |
3.356 х 103 |
4.344 х 103 |
|
|
cn = 2, φn = 32 |
3.616 х 103 |
4.195 х 103 |
||
|
cn = 1, φn = 35 |
2.477 х 103 |
2.549 х 103 |
||
|
Мелкие |
cn = 6, φn = 38 |
4.149 х 103 |
4.486 х 103 |
|
|
cn = 4, φn = 36 |
3.204 х 103 |
3.252 х 103 |
||
|
cn = 2, φn = 32 |
1.984 х 103 |
1.874 х 103 |
||
|
cn = 0, φn = 28 |
1.075 х 103 |
1.087 х 103 |
||
|
Пылеватые |
cn = 8, φn = 36 |
3.662 х 103 |
3.489 х 103 |
|
|
cn = 6, φn = 34 |
2.872 х 103 |
2.555 х 103 |
||
|
cn = 4, φn = 30 |
1.737 х 103 |
1.458 х 103 |
||
|
cn = 2, φn = 26 |
2.485 х 103 |
2.91 х 103 |
||
На основании данных таблицы 1 можно сделать вывод, что значения предельной нагрузки, полученные для песчаных грунтов по усовершенствованной методике, ниже значений полученных по формуле из СП, а для глинистых грунтов наоборот. Отсюда следует, что методика в том виде, как она представлена в статье ограничивается применением для песчаных грунтов.
1. Bogomolov A.N., Bogomolova O.A., Vayngol'ts A.I., Yermakov O.V. Sopostavleniye rezul'tatov rascheta nesushchey sposobnosti dvukhsloynogo osnovaniya zaglublennogo lentochnogo fundamenta razlichnymi sposobami [Comparison of the results of calculating the bearing capacity of a two-layer base of a buried strip foundation in various ways]// Vestnik PNIPU. Stroitel'stvo i arkhitektura. - 2014. - № 2. - S. 106-116.
2. Evtushenko S.I. Issledovaniya nesushchey sposobnosti modeley fundamentov na pes-chanom osnovanii [Studies of the bearing capacity of foundation models on a sandy base]// Stroitel'stvo i arkhitektura. M. - 2018. - T. 6, № 3. - S. 22-28. DOI:https://doi.org/10.29039/article_5bee8ab2477840.65600919.
3. Fedorovskiy V.G. Popravochnyy chlen k formule Tertsagi dlya rascheta nesushchey spo-sobnosti osnovaniy [Correction term to the Terzagi formula for calculating the bearing capacity of foundations]// Osnovaniya, fundamenty i mekhanika gruntov.-2016.-№6.- s.2-5.
4. Mirsayapov I.T., Koroleva I.V. Raschet nesushchey sposobnosti i osadok osnovaniy fundamentov pri dlitel'nom deystvii staticheskoy nagruzki [Calculation of bearing capacity and settlement of foundation foundations under long-term static load]// Izvestiya KGASU, Kazan'. - 2011. - № 3 (17). - S. 71-78.
5. Karaulov A.M., Korolev K.V., Kuznetsov A.O. K otsenke nesushchey sposobnosti gruntovykh osnovaniy [On the assessment of the bearing capacity of soil foundations] // Osnovaniya, fundamenty i mekhanika gruntov.-2022.-№2.- s.2-8
6. SP 22.13330.2016 «Osnovaniia zdanii i sooruzhenii». Aktualizirovannaia redaktsiia SNiP [Foundations of buildings and structures. Revised edition SNiP] 2.02.01-83. - M., 2016.
7. SP 63.13330.2012. Betonnye i zhelezobetonnye konstrukcii. Osnovnye polozheniya. Aktualizirovannaya redakciya SNiP [Concrete and reinforced concrete structures. Basic provisions. Revised edition SNiP] 52-01-2003. M: 2012.
8. Murzenko Y.N. Eksperimental'no-teoreticheskie issledovaniya silovogo vzaimo-dejstviya fundamentov i peschanogo osnovaniya [Experimental-theoretical studies of the force interaction of foundations and sand base]. Diss. dokt. tekhn. nauk. Novocherkassk. 1972.
9. Murzenko Iu.N., Evtushenko S.I. Eksperimental'nye issledovaniia raboty kraevoi zony sbornykh fundamentov pod otdel'nuiu kolonnu i setku kolonn na peschanom osnovanii. [Experimental research work the edge of prefabricated foundations zone under a separate column and column grid based on the sand] monografiia.- Rostov n/D. Izd-vo zhurn. «Izv. vuzov. Sev.-Kavk. region», 2008.- 248 s.
10. Dyba V.P. Otsenki nesushchei sposobnosti fundamentov: monografiia [Assessment of bearing capacity of foundations]/ Iuzh.-Ros. gos. tekhn. un-t.- Novocherkassk: IuRGTU, 2008.-200s.
11. Dyba V.P., Matvienko M.P. K raschetu vzaimodejstviya zhelezobetonnogo fundamenta s gruntovym osnovaniem pri predel'noj nagruzke [To the calculation of the interaction of the reinforced concrete foundation with the ground base under the maximum load] // Vestnik Permskogo nacional'nogo issledovatel'skogo politekhnicheskogo universiteta. Stroitel'stvo i arhitektura. - 2017. - T. 8, № 2. - S. 87-95. DOI:https://doi.org/10.15593/2224-9826/2017.2.08.
12. Matvienko M.P., Dyba V.P., Al' Ekabi Khaki Khadi Abbud. Eksperiment po proverke novoi metodiki rascheta gibkikh zhelezobetonnykh fundamentov po nesushchei sposobnosti [Experimental verification of new methodology for calculating the flexible ferroconcrete foundation of the bearing capacity] // Izvestiia VUZov Severo-Kavkazskii region. - 2015; - №3. - S. 80-84.



