сотрудник с 01.01.2019 по 01.01.1925
Ростовская область, Россия
Предложена методика количественной оценки тезаурусного потенциала производственной системы в логике Индустрии 5.0. На основе динамической отраслевой онтологии Ω(t) рассчитываются показатели покрытия знаний персоналом и цифровым контуром, а также коэффициент согласованности «человек–ИИ». На основе интегрального показателя T(t) проводится диагностика интеллектуальных разрывов и выбор мер по наращиванию тезаурусного потенциала производственной системы.
Индустрия 5.0, производственная система, динамическая отраслевая онтология, энтропийное управление, интеллектуальный контур, управление в промышленности
В условиях перехода к Индустрии 5.0 ключевым фактором конкурентоспособности производственных систем становится не только уровень цифровизации, но и качество интеллектуальной составляющей. На практике предприятия сталкиваются с тем, что даже при наличии современных информационных систем и накопленных компетенций персонала управленческие решения ухудшаются из-за рассогласования терминологии, разрыва между регламентами и цифровыми моделями, а также высокой доли ручных интерпретаций данных. Это приводит к росту транзакционных потерь: увеличению времени согласований, ошибкам в документации и снижению воспроизводимости процессов, особенно в среде высокой изменчивости требований к качеству и срокам. Следовательно, возникает потребность в количественном измерителе, который отражает не отдельные навыки, а интегральную согласованность знаний персонала и цифрового контура в единой отраслевой онтологии. В этой логике актуальной становится разработка методики оценки тезаурусного потенциала производственной системы как метрики интеллектуальной зрелости и управляемости. Получаемый показатель позволяет количественно оценивать интеллектуальную составляющую производственных систем нового поколения, выявлять узкие места в знаниях и цифровой базе и обосновывать приоритеты организационных и цифровых мероприятий по повышению эффективности [6].
Вместе с тем на практике выявляется методическая проблема: отсутствует единый количественный показатель, позволяющий оценить согласованность понятийного аппарата персонала и цифровых инструментов управления в рамках одной производственной системы. В результате диагностика «интеллектуального контура» часто сводится к разрозненным оценкам компетенций или уровню цифровизации без измерения качества их сопряжения. Это ограничивает воспроизводимость управленческих решений и затрудняет приоритезацию мероприятий по развитию.
Цель исследования состоит в разработке и обосновании методики количественной оценки тезаурусного потенциала производственной системы как интегрального измерителя интеллектуального контура в контексте Индустрии 5.0, основанную на динамической отраслевой онтологии и показателях согласованности тезаурусов персонала и искусственного интеллекта.
Для достижения цели были поставлены и выполнены следующие задачи:
- Выполнить обзор и систематизацию научных подходов к формализации производственных знаний (онтологии, графы знаний, цифровые двойники) и к обеспечению согласованности взаимодействия «человек–ИИ» в контексте принципов Индустрии 5.0.
- Сформировать концептуальные положения построения динамической отраслевой онтологии Ω(t) производственной системы, включая принципы актуализации терминологического ядра, задание весов управленческой значимости терминов и требования к воспроизводимости измерений во времени.
- Определить и структурировать составляющие интеллектуального контура производственной системы Индустрии 5.0 (тезаурус персонала, цифровой тезаурус, механизмы их сопряжения), обосновав систему показателей покрытия и согласованности как основу количественной диагностики.
- Разработать управленческую интерпретацию типовых диагностических ситуаций на базе соотношений показателей (Cpers, CAI, SKI), выделив приоритетные направления организационных, кадровых и цифровых мероприятий для устранения «тезаурусных разрывов» и повышения управляемости производственной системы.
Структура статьи включает: обзор научных подходов к формализации производственных знаний и взаимодействию «человек–ИИ»; описание концепции динамической отраслевой онтологии Ω(t) и источников терминологической базы; формализацию показателей покрытия и согласованности (Cpers, CAI, SKI) и интегрального показателя тезаурусного потенциала; интерпретацию типовых диагностических ситуаций и выводы для управленческих решений.
Научная новизна состоит в предложении воспроизводимой методики количественного измерения интеллектуального контура производственной системы на основе динамической отраслевой онтологии, включающей интегральную оценку тезаурусного потенциала, учитывающую вклад персонала и цифровых инструментов c учетом их уровня их согласованности. В отличие от существующих подходов, ориентированных преимущественно на семантическую формализацию или оценку цифровой зрелости, методика обеспечивает одновременную диагностику покрытия предметной области и качества сопряжения тезаурусов «человек–искусственный интеллект» с возможностью управленческой интерпретации. Тем самым проблемное поле исследования формулируется как разрыв между наличием инструментов семантической формализации и отсутствием воспроизводимого количественного измерителя, который одновременно оценивает покрытие предметной области персоналом и цифровым контуром и качество их сопряжения. Предлагаемая методика направлена на закрытие данного разрыва за счёт введения единой шкалы показателей и процедур их управленческой интерпретации.
Переход к Индустрии 5.0 трактуется как смещение фокуса от «максимальной автоматизации» к человекоцентричности, устойчивости и резильентности, где цифровые технологии должны усиливать человека и повышать управляемость системы. Методологические основания интеграции принципов Индустрии 5.0 в операционное управление представлены в [5], что задаёт основу для постановки настоящего исследования.
В отчёте Европейской комиссии [1] подчёркивается, что ценность создаётся не только за счёт внедрения цифровых решений, но и за счёт их корректной интеграции в практики принятия решений и обеспечения благополучия работника. В рамках настоящего исследования эта рамка задаёт критерий актуальности: требуется не просто оценка уровня цифровизации, а количественный измеритель интеллектуального контура «человек–ИИ», способный диагностировать качество совместной работы и управленческой интерпретации знаний.
Вопрос формализации производственного знания активно развивается через исследования графов знаний и семантического моделирования в умном производстве [2]. Авторы трактуют графы знаний как семантический каркас, позволяющий связывать сущности производства, поддерживать выводы и масштабировать знания за счёт формальных связей и правил. Эти результаты напрямую поддерживают основу настоящей методики: динамическая отраслевая онтология выступает «эталонным тезаурусом», по которому можно измерять интеллектуальные навыки персонала и цифрового контура в производственных системах нового поколения.
Практический вывод исследования по анализу формализованных знаний [3] состоит в том, что цифровой двойник становится не только «моделью состояния», но и носителем формализованного предметного знания (термины, связи, контекст, правила), что критично для воспроизводимости решений. Таким образом, компонент цифрового тезауруса должен быть семантически структурирован, иначе растёт доля ручных интерпретаций и ошибок согласования, а интеллектуальный контур не даёт ожидаемого эффекта Индустрии 5.0.
Наконец, в работах по совместному взаимодействию человека и искусственного интеллекта усиливается тезис о необходимости онтологической основы для совместимости и объяснимости. В работе [4] предложена онтологическая система для динамичного, объяснимого и человекоцентричного взаимодействия людей и интеллектуальных агентов в киберфизической среде, показывая, что согласованный понятийный аппарат снижает ошибки взаимодействия и повышает управляемость совместной работы. Это концептуально совпадает с акцентом на коэффициент согласованности: даже при наличии знаний у человека и у искусственного интеллекта итоговая эффективность зависит от того, насколько эти знания «стыкуются» в едином языке и регламентах.
Анализ научных источников показывает, что исследования в области графов знаний, онтологий и цифровых двойников формируют инструменты семантической формализации производственных знаний, а работы по взаимодействию человека и искусственного интеллекта подчёркивают значимость согласованного понятийного аппарата.
Таким образом, существующие исследования убедительно показывают следующее:
1) Индустрия 5.0 требует измеримости человекоцентричного цифрового контура;
2) онтологии и цифровые двойники дают инструменты семантической формализации производственного знания;
3) онтологии повышают качество командной работы человек-ИИ за счёт интероперабельности и объяснимости.
Вместе с тем в научной литературе ограниченно представлена количественные индикаторы, которые одновременно: измеряют покрытие отраслевой онтологии персоналом и ИИ, оценивают степень их согласованности, и поддерживают управленческую диагностику качественных характеристик интеллектуальной составляющей. Заполнение этого разрыва и составляет вклад настоящего исследования, предлагающего метрику тезаурусного потенциала как измерителя интеллектуального контура «персонал–ИИ» в производственной системе.
В настоящей работе предлагается методика количественной оценки тезаурусного потенциала производственной системы на основе динамической отраслевой онтологии, показателей покрытия тезауруса персоналом и цифровым контуром, а также коэффициента согласованности «человек–искусственный интеллект». Под интеллектуальным контуром производственной системы далее понимается совокупность: знаний и терминологической компетентности персонала, формализованного предметного знания, встроенного в цифровые инструменты (регламенты, справочники, правила, модели/кейсы), и механизмов их согласования в едином понятийном пространстве. Тезаурусный потенциал трактуется как интегральная количественная характеристика готовности этого контура поддерживать устойчивое и воспроизводимое принятие решений в операционном управлении.
Терминологическая база исследования формируется на основе регламентов и технологической документации предприятия (технологические карты, инструкции, требования к качеству, классификаторы дефектов), а также данных корпоративных систем управления и мониторинга производственных процессов.
Формирование Ω(t) целесообразно выполнять по унифицированной процедуре:
(1) извлечение кандидатов терминов из регламентов/справочников/журналов дефектов;
(2) нормализация (синонимы, аббревиатуры, единицы измерения, варианты написания);
(3) устранение дублей и омонимии по контексту применения;
(4) привязка терминов к операциям/изделиям/параметрам качества;
(5) утверждение терминологического ядра экспертной группой и фиксация версии Ω(t).
Такая процедура снижает «шум» терминов и повышает устойчивость метрик покрытия. Воспроизводимость расчётов и возможность автоматизации диагностики обеспечиваются программным комплексом, зарегистрированным в [7].
Оценка владения терминами персоналом выполняется по материалам аттестации и тестирования, матрицам компетенций и результатам наблюдения выполнения операций, что позволяет задать долевые значения
в интервале [0;1]. Использование долевой шкалы [0;1] обеспечивает сопоставимость разнородных источников данных и позволяет агрегировать результаты по терминам, подразделениям и периодам наблюдения.
В практической реализации значения могут формироваться, например, по нормированным баллам аттестации, доле корректных действий по чек-листам операций, результатам наставничества или статистике ошибок, связанных с терминологическими несоответствиями. Оценка представленности терминов в цифровом контуре задаётся по онтологии и справочникам информационных систем, правилам и базе кейсов, а также по структуре обученных сущностей моделей, что формирует
∈ [0;1] и обеспечивает сопоставимость расчётов во времени.
Предлагаемая методика применима для диагностики интеллектуального контура на уровне как отдельного структурного подразделения, так и целого предприятия и ориентирована на задачи операционного управления (диспетчеризация, технологическая дисциплина, качество, выпуск и сроки). Расчёт показателей рекомендуется проводить регулярно (например, ежемесячно или ежеквартально) с возможностью сравнения динамики во времени. В рамках настоящей статьи под производственной системой понимается организационно-технологический контур «ресурсы–операции–качество–логистика–энергия», ограниченный выбранным уровнем декомпозиции (участок/цех/предприятие) и единым набором регламентов, справочников и цифровых моделей. Уровень применения фиксируется в паспорте расчёта, что обеспечивает сопоставимость показателей при динамическом мониторинге и при сравнении подразделений внутри предприятия.
Предполагается, что динамическая отраслевая онтология (Ω(t)) актуализируется при изменении технологий, регламентов и требований к качеству, а веса значимости терминов wj могут пересматриваться при изменении управленческой критичности или структуры рисков.
Долевые оценки формируются в шкале [0;1] на основе верифицируемых источников (аттестация/наблюдение и данные цифрового контура), что обеспечивает воспроизводимость расчётов и управленческую интерпретируемость результатов.
Для обеспечения воспроизводимости рекомендуется оформлять паспорт расчёта, включающий: версию онтологии Ω(t) и дату актуализации; перечень источников терминов (регламенты, справочники, базы дефектов, модели); правила нормирования
и
; процедуру задания весов wj; значения параметров kpers, kAI и γ; пороговые зоны (нормативы) для Cpers, CAI и SKI. Наличие паспорта расчёта позволяет повторять измерение в последующих периодах и корректно интерпретировать динамику показателя T(t).
Пусть Ω(t) =
— множество терминов предметной области конкретной производственной системы (отраслевая онтология) в момент времени t, где
Каждому термину присваивается вес значимости wj≥0,
, отражающий управленческую критичность термина (например, связь с частотой использования в документации, влиянием на безопасность или стоимость ошибок). Веса wj целесообразно определять по комбинированной процедуре: экспертная оценка критичности дополняется эмпирическими данными. При необходимости веса могут уточняться по итогам ретроспективного анализа потерь и корректироваться при изменении технологий и требований к качеству. Методологические положения информационного подхода к оценке уровня развития производственной системы, используемые в настоящей работе, изложены в [8].
Общая логика предлагаемой методики, включающая источники данных, построение динамической отраслевой онтологии Ω(t), расчёт показателей покрытия и согласованности и последующую управленческую интерпретацию результатов, представлена на рис. 1.

Рис. 1. Концептуальная схема методики количественной оценки тезаурусного потенциала производственной системы
Далее, опираясь на представленную схему (рис. 1), введём показатели покрытия и согласованности, позволяющие перейти от качественного описания интеллектуального контура к воспроизводимому количественному измерению тезаурусного потенциала.
Для измерения тезаурусного потенциала вводятся показатели покрытия отраслевой онтологии лексикой персонала и терминологией, «закодированной» в искусственном интеллекте.
Определим долевые индикаторы освоения термина:
∊ [0; 1] — степень владения термином персоналом (по тестам, аттестации, наблюдению выполнения операций, результатам наставничества, выгрузка из ERP);
∊ [0; 1] — степень представленности термина в цифровом контуре (в онтологии модели, справочниках, правилах, обученных сущностях, базе кейсов).
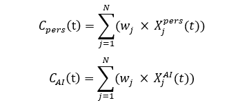
Тогда показатели покрытия определяются как взвешенные суммы:

В рамках адаптации настоящей методики к условиям конкретной производственной системы целесообразно задать пороговые нормативные зоны для Cpers и CAI на основе калибровки данных. Они позволяют диагностировать терминологическую готовность персонала и зрелость отраслево-ориентированных ИИ-модулей для поддержки решений.
Даже при высоких значениях Cpers и CAI качество решений может снижаться из-за рассогласования понятийных аппаратов. Поэтому вводится коэффициент синергетической согласованности SKI(t), отражающий долю совпадающих знаний в едином контуре. Управленческий смысл SKI(t) состоит в диагностике «семантических разрывов»: ситуация, когда персонал и цифровой контур по отдельности демонстрируют высокое покрытие, но используют различные термины, что приводит к росту согласований, ручным корректировкам и ошибкам коммуникации. Поэтому SKI выступает индикатором качества сопряжения, критичным для воспроизводимости решений в операционном управлении.
Практично использовать взвешенную меру пересечения тезаурусов:

Следует подчеркнуть, что SKI(t) отражает не просто наличие одинаковых терминов, а степень «стыковки» терминов в управленческом контуре: одинаковые термины должны иметь согласованные определения, атрибуты и правила применения в регламентах и цифровых моделях. Поэтому при внедрении методики рекомендуется дополнять расчёт SKI процедурами семантической валидации (проверка определений и связей термина в Ω(t) и в цифровом контуре), что снижает риск «ложной согласованности».
Суммарный тезаурусный потенциал трактуется как взвешенная результирующая человеческой и машинной составляющих с учетом их долевого участия в управленческих решениях, а его эффективное значение корректируется коэффициентом согласованности SKI.
Введём коэффициенты вклада человека и ИИ: kpers,kAI≥0,
kpers+kAI=1
Тогда базовая результирующая:
![]()
Для учета синергии вводится параметр γ∈[0,1] — вес влияния согласованности на итоговую оценку (для практических управленческих задач часто принимается γ=0,5 как компромисс). Значения kpers и kAI рекомендуется задавать исходя из фактической доли участия человека и цифровых инструментов в контуре решений (например, по регламентам принятия решений, маршрутам согласований, доле операций, где применяются подсказки ИИ). Параметр γ может определяться по процедуре валидации: выбирается набор контрольных периодов, и γ подбирается так, чтобы интегральный показатель лучше объяснял динамику целевых результатов (сроки, дефектность, количество переделок, объём ручных корректировок).
Валидация показателя T(t) может выполняться через сопоставление его динамики с операционными KPI: долей дефектов, объёмом переделок, временем согласования технологических отклонений, долей ручных корректировок в документации и задержками диспетчеризации.
Практически рекомендуется рассчитывать корреляционные зависимости «T(t) → KPI» на ретроспективных периодах и проверять, что снижение SKI сопровождается ростом транзакционных потерь, а рост Cpers/CAI — улучшением воспроизводимости решений. Это обеспечивает доказательность управленческой интерпретации метрики.
Тогда эффективный тезаурусный потенциал:
![]()
Предложенная форма обеспечивает принципиально важный для Индустрии 5.0 эффект: согласованность контура «человек–ИИ» не просто добавляется, а масштабирует результативность имеющегося знания, снижая потери на интерпретацию, несоответствие терминов, ручные корректировки и ошибки коммуникации.
Методика предполагает сопоставление фактических значений {Cpers, CAI, SKI} с нормативными зонами и проведение анализа для оценки разрыва между текущим и требуемым уровнем.
Для практического использования методики результаты расчётов интерпретируются не по одному показателю, а по их сочетаниям, что позволяет различать дефицит знаний персонала, недостаточность цифрового тезауруса и проблему терминологического рассогласования. Ниже приведены типовые конфигурации показателей и соответствующие приоритеты управленческих воздействий.
Управленческая интерпретация типовых ситуаций:
- Cpers↓, CAI↑: приоритет — обучение персонала и микро-курсы по «выпадающим» терминам;
- Cpers↑, CAI↓: приоритет — расширение/аудит онтологии ИИ и дообучение моделей;
- Cpers↓, CAI↓: стандартизация терминологии, ревизия документации, пересборка баз знаний;
- Cpers↑, CAI↑, SKI↓C: согласование глоссариев, терминологический реинжиниринг, интеграция языков человека и ИИ в ERP/MES.
Примеры управленческих мер:
- введение единого глоссария терминов в ERP/MES как «источника истины» с привязкой к операциям и параметрам качества;
- пересборка чек-листов и инструкций с унификацией формулировок терминов, используемых в цифровых формах и на рабочих местах;
- разработка микро-модулей обучения по терминам с максимальным вкладом wj и высоким разрывом терминологии персонала и искусственного интеллекта;
- настройка подсказок ИИ так, чтобы они использовали утверждённые определения и атрибуты терминов из Ω(t).
Следует отметить ограничения методики: точность оценки зависит от полноты и актуальности онтологии Ω(t), качества процедур аттестации, а также корректности извлечения терминов из цифрового контура. При существенных изменениях технологии, номенклатуры или регламентов требуется актуализация онтологии и пересмотр весов wj, а при сравнении разных предприятий — согласование принципов построения Ω(t) и правил калибровки нормативных зон.
При межфирменных сравнениях показатель корректен только при сопоставимых принципах построения Ω(t): одинаковых правилах нормализации терминов, единых классах сущностей (операции/дефекты/параметры качества), согласованных процедурах задания весов wj и одинаковом подходе к фиксации «частичной формализации» в
. В противном случае различия могут отражать не реальную интеллектуальную зрелость, а различия в методике разметки и наполнения онтологии.
В рамках статьи показано, что в логике Индустрии 5.0 конкурентоспособность производственной системы определяется не только уровнем цифровизации, но и качеством интеллектуального контура, то есть согласованностью знаний персонала и цифровых инструментов управления в единой отраслевой онтологии.
Разработана методика количественной оценки тезаурусного потенциала на основе динамической онтологии Ω(t), включающая задание весов значимости терминов, получение долевых оценок владения терминами персоналом и их представленности в цифровом контуре, а также расчёт показателей покрытия Cpers и CAI.
Для учёта эффекта совместной работы «человек–ИИ» введён коэффициент согласованности SKI(t), позволяющий выявлять случаи, когда при высоком покрытии итоговая эффективность снижается из-за терминологического рассогласования.
Предложен интегральный показатель тезаурусного потенциала T(t) и его эффективная форма, корректируемая согласованностью, что обеспечивает управленчески интерпретируемую диагностику интеллектуальной зрелости и управляемости системы.
Показано, что результаты оценки интеллектуального уровня развития производственной системы нового поколения позволяют обосновывать приоритеты мер (обучение персонала, аудит или расширение онтологии и дообучение моделей, стандартизация терминологии и ревизия документации, интеграция языков человека и ИИ в ERP-контур).
Практическая значимость работы состоит в возможности регулярного мониторинга тезаурусных разрывов и целевого планирования организационных и цифровых улучшений, направленных на снижение транзакционных потерь и повышение воспроизводимости управленческих решений.
1. Breque M., De Nul L., Petridis A. Industry 5.0 — Towards a sustainable, human-centric and resilient European industry: report / European Commission, Directorate-General for Research and Innovation. — 2021. — URL: https://research-and-innovation.ec.europa.eu/knowledge-publications-tools-and-data/publications/all-publications/industry-50-towards-sustainable-human-centric-and-resilient-european-industry_en (дата обращения: 05.02.2026).
2. Wan Y., Liu Y., Chen Z., Chen C., Li X., Hu F., Packianather M. Making knowledge graphs work for smart manufacturing: Research topics, applications and prospects // Journal of Manufacturing Systems. — 2024. — Vol. 76. — P. 103–132. — DOI:https://doi.org/10.1016/j.jmsy.2024.07.009. — URL: https://www.sciencedirect.com/science/article/pii/S0278612524001572 (дата обращения: 05.02.2026).
3. Su C., Han Y., Tang X., Jiang Q., Wang T., He Q. Knowledge-based digital twin system: Using a knowledge-driven approach for manufacturing process modeling // Computers in Industry. — 2024. — Vol. 159–160. — Art. 104101. — DOI:https://doi.org/10.1016/j.compind.2024.104101. — URL: https://www.sciencedirect.com/science/article/abs/pii/S0166361524000290 (дата обращения: 05.02.2026).
4. Karapanagiotis P., Kottagaha W. M. K., Rovere D., Bokhorst J. A. C., Valdata A., Emmanouilidis C. Enabling interoperable human–AI teaming for automation in construction and manufacturing via Digital Twins and Sliding Work Sharing ontologies // Journal of Industrial Information Integration. — 2025. — Vol. 48. — Art. 100962. — DOI:https://doi.org/10.1016/j.jii.2025.100962. — URL: https://www.sciencedirect.com/science/article/pii/S2452414X25001852 (дата обращения: 05.02.2026).
5. Погорелова, Л. А. Формирование методологии внедрения принципов Индустрии 5.0 в систему операционного управления промышленным предприятием / Л. А. Погорелова // Устойчивое развитие социально-экономической системы Российской Федерации: СБОРНИК ТРУДОВ XXVI МЕЖДУНАРОДНОЙ НАУЧНО-ПРАКТИЧЕСКОЙ КОНФЕРЕНЦИИ, Симферополь, 13 ноября 2025 года. – Симферополь: Общество с ограниченной ответственностью «Издательство Типография «Ариал», 2025. – С. 294-297. – EDN NEAHOA.
6. Погорелова, Л. А. Энтропийный подход к управлению объемами незавершенного производства на предприятии / Л. А. Погорелова // Вестник Сибирского института бизнеса и информационных технологий. – 2025. – Т. 14, № 4. – С. 119-125. – DOIhttps://doi.org/10.24412/2225-8264-2025-4-1013. – EDN KNJKIM.
7. Свидетельство о государственной регистрации программы для ЭВМ №2025696528 Российская Федерация. Программный комплекс информационно-энтропийной диагностики производственных систем: заявл. 11.12.2025: опубл. 18.12.2025 / Л. А. Погорелова. – EDN ROBMDN.
8. Погорелова, Л. А. Методология оценки уровня развития производственной системы на основе информационного подхода / Л. А. Погорелова // Друкеровский вестник. – 2023. – № 3(53). – С. 204-212. – DOIhttps://doi.org/10.17213/2312-6469-2023-3-204-212. – EDN LNJDHF.



