с 01.01.2000 по настоящее время
Пенза, Пензенская область, Россия
с 01.09.1967 по 31.12.2018
Пенза, Пензенская область, Россия
ГРНТИ 67.11 Строительные конструкции
ГРНТИ 67.21 Инженерные изыскания в строительстве
ГРНТИ 67.01 Общие вопросы строительства
ОКСО 08.03.01 Строительство
ОКСО 08.02.01 Строительство и эксплуатация зданий и сооружений
ББК 38 Строительство
ББК 308 Монтаж, эксплуатация, ремонт машин и промышленного оборудования
ТБК 50 Технические науки в целом
ТБК 5413 Основания и фундаменты. Механика грунтов
ТБК 5414 Строительные конструкции
Представлены результаты обследования несущих и ограждающих конструкций пятиэтажных жилых домов. Выполнен анализ причин проявления деформаций в наружных стенах и в лестничных пролетах зданий. Установлен физический и моральный износ зданий. Общее состояние зданий признано удовлетворительным. Все основные элементы зданий пригодны для эксплуатации, но требуется некоторый капитальный ремонт. Даны рекомендации по предотвращению и наблюдению за развитием деформаций зданий.
обследование и эксплуатация зданий, неравномерные деформации основания, деформации несущих и ограждающих конструкций, физический износ
Необходимость в проведении обследовательских работ, их объем, состав и характер зависят от поставленных конкретных задач. Основанием для обследования могут быть следующие причины: наличие дефектов и повреждений конструкций (например, вследствие силовых, коррозионных, температурных или иных воздействий, в том числе неравномерных просадок фундаментов), которые могут снизить прочностные, деформативные характеристики конструкций и ухудшить эксплуатационное состояние здания в целом; выявление отступлений от проекта, снижающих несущую способность и эксплуатационные качества конструкций; отсутствие проектно-технической и исполнительной документации; изменение функционального назначения зданий и сооружений; возобновление прерванного строительства зданий и сооружений при отсутствии консервации или по истечении трех лет после прекращения строительства при выполнении консервации; деформации грунтовых оснований; необходимость контроля и оценки состояния конструкций зданий и сооружений, расположенных в зоне влияния вновь строящихся объектов;
Выполнено натурное обследование фактического состояния несущих и ограждающих конструкции зданий жилых домов Пензенского совхоза-техникума.
При составлении заключения по данной работе были использованы следующие материалы и документы:
- Задание администрации Пензенского совхоза-техникума на проведение обследования состояния зданий жилых домов № 48 и № 49;
- Технический отчёт о комплексных инженерных изысканиях на участке строительства девятиэтажного жилого дома со встроенно-пристроенным магазином в районе совхоза-техникума города Пензы [1];
- Результаты натурного обследования фактического состояния зданий жилых домов;
- Беседы с жильцами домов, их критические замечания и пожелания.
Обследуемые жилые дома № 48 и № 49 совхоза-техникума расположены на склоне долины ручья с местным названием "Веселый Дунай". Естественный рельеф склона частично нарушен деятельностью человека, подрезан и спланирован. Относительная разность отметок природной поверхности по склону между домами 48 и 49 достигает 7-8 м. Склон до домов, между домами и ниже задернован, поросший деревьями и кустарником. Следов естественных смещений (оползней) грунтовых масс по склону не наблюдается.
В геологическом строении района расположения жилых домов принимают участие четвертичные аллювиальные отложения, верхней и нижней зон маастрихтского яруса верхнего отдела меловой системы и сызранские слои нижней свиты палеогена [2, 3, 4]. В верхней части эти отложения выветрелые.
С поверхности склона залегают насыпной и почвенно-растительный слои. Насыпной слой представлен глинистой почвой с редкими обломками кирпича. Почвенно-растительный слой также глинистый. По степени морозоопасности эти грунты – сильнопучинистые.
Четвертичные аллювиальные отложения представлены глиной коричневато-серой, ожелезненной.
Элювиальные отложения, развитые по породам палеогена, представлены, суглинком зеленовато-коричневато-серым, ожелезненым и щебенистым грунтом.
Элювиальные отложения, развитые по породам верхнего мела, представлены в верхней части – суглинком зеленовато-коричневым, слюдистым, в нижней части - глиной коричневато-зеленовато-серой, участками с прослоями щебня местного песчаника.
Коренные отложения маастрихтского яруса верхнего мела представлены глиной темно-серой, слюдистой, известковистой.
Подземные воды при инженерных изысканиях встречены на глубине 9,0 - 14,0 м от поверхности. На отдельных участках встречаются подземные воды типа "верховодка". Образование "верховодок" происходит за счёт утечек воды из подземных коммуникаций, а также за счёт инфильтрации атмосферных осадков в период снеготаяния и затяжных дождей. Геологическое строение площадки весьма благоприятно для образования "верховодки" [5].
Расположение жилых домов поперёк склона препятствует естественному природному движению подземных вод по склону и способствует скоплению их с северной стороны зданий в весенний период и осенью.
Грунтами основания жилых домов служат глины аллювиальные, тугопластичные. Согласно лабораторных испытаний, выполненных Пензенским трестом инженерно-строительных изысканий, просадочными и набухающими свойствами эти глины не обладают. По степени морозоопасности относятся к слабопучинистым грунтам.
Средние значения физико-механических характеристик грунтов основания, следующие:
|
Физико-механические характеристики грунтов |
Значение |
|
природная влажность, % |
29,0 |
|
плотность природная, тс/м3 |
1,75 |
|
плотность сухого грунта, тс/м3 |
1,37 |
|
плотность минеральных частиц, тс/м3 |
2,70 |
|
коэффициент пористости |
0,98 |
|
степень влажности |
0,82 |
|
удельный вес, кН/м3 |
1,72 |
|
граница текучести, % |
44,0 |
|
граница раскатывания, % |
22 |
|
число пластичности |
22 |
|
показатель текучести |
0,36 |
|
удельное сцепление, кПа |
34,0 |
|
угол внутреннего трения, град |
18,0 ° |
|
модуль деформации, МПа |
16,0 |
Прочностные характеристики грунта по данным испытаниям достаточно высокие. Испытания на сжимаемость показывают, что данные грунты относятся к среднесжимаемым.
Определим расчётное сопротивление грунта в соответствии со СНиП [6].
При определении размеров подошвы фундаментов нормы требуют, чтобы среднее давление по подошве фундамента не превышало расчётного сопротивления грунтов основания, расчётное сопротивление грунта определяется по формуле:где
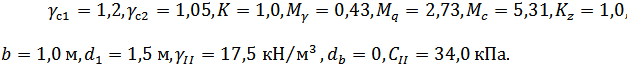
– коэффициент условий работы грунтов основания;
– коэффициент условий работы сооружения совместно с основанием;
– коэффициент, зависящий от способа определения прочностных характеристик грунта, в нашем случае определялись непосредственными испытаниями;
– коэффициенты, зависящие от угла внутреннего трения несущего слоя;
– коэффициент, зависящий от ширины подошвы фундамента;
b – ширина подошвы фундамента;
– осреднённый удельный вес грунтов, залегающих ниже подошвы фундаментов;
– глубина заложения подошвы фундамента;
– среднее значение удельного веса грунтов, залегающих выше подошвы фундамента;
– глубина подвала;
– удельное сцепление грунта, залегающего непосредственно под подошвой фундамента.
При определении расчётного сопротивления грунта приняты следующие допущения:
- ширина подошвы фундамента 1,0 м,
- глубина заложения подошвы 1,5 м,
- подвал в здании отсутствует.
Эти допущения ведут к получению меньшего значения расчётного сопротивления грунта, чем должно быть в действительности.
Для нашего случая имеем:

Расчётное сопротивление грунта будет равно:

Практика проектирования, жилых домов серии 447 (дома 48, 49 Пензенского совхоза-техникума) показывает, что среднее давление под подошвой фундаментов у них не превышает 200 кПа. Таким образом, прочностные свойства грунта достаточны для нормальной эксплуатации зданий в соответствии с требованиями СНиП [6].
Результаты обследования.
Жилые дома 48, 49 Пензенского совхоза-техникума представляют собой пятиэтажные кирпичные здания, выполненные из силикатного кирпича. Дом 48 имеет с южной стороны цокольный этаж на половину ширины здания вниз по склону. Перекрытия в домах сборные железобетонные из пустотных плит, перекрытия в цокольном этаже дома 48 по деревянным балкам. Здания с продольными несущими стенами. Жилой дом 48 в средней части здания, имеет подвал, а с торцов - встроенные магазины. Кровля зданий - совмещённая, рулонная с неорганизованным водоотводом. Здания двухсекционные, выполненные по серии 447-С с двумя лестничными клетками. Окна и двери деревянные.
Целью обследования являлось выявление фактического состояния здания в настоящее время. Оценка технического состояния проводится различными методами. Нами использован наиболее простой - визуальный.
Для обеспечения технической возможности использования здания по назначению оно должно обладать соответствующей надёжностью. После возведения здания и пуска его в эксплуатацию надёжность должна обеспечиваться правильной эксплуатацией и ремонтом. В процессе эксплуатации здание подвергается износу. Различают износ физический и моральный. Физический износ заключается в ухудшении технических качеств и состояния конструктивных элементов. Моральный износ подразумевает достижение такого состояния, при котором здание перестаёт соответствовать своему функциональному назначению.
По результатам визуального обследования фактического состояния несущих и ограждающих конструкций зданий жилых домов 48 и 49 Пензенского совхоза-техникума в соответствии с [7, 8, 9] общее техническое состояние зданий удовлетворительное. Все конструктивные элементы в целом пригодны для эксплуатации, но требуется некоторый капитальный ремонт. Физический износ составляет от 21 до 40 %.
По [7] жилые дома каменные обыкновенные отнесены ко II группе капитальности, срок службы которых установлен ориентировачно в 125 лет. Важным фактором поддержания физической долговечности зданий является соблюдение сроков проведения планово-предупредительных ремонтов - текущих и капитальных. Текущий ремонт проводится раз в 3 года, капитальный - раз в 25 лет (по нормам). Результаты визуального осмотра представлены на рис. 1 – 6.

Рис. 1. Дом 49. Трещины стены главного фасада.

Рис. 2. Дом 49. Трещины стены дворового фасада.

Рис. 3. Дом 49. Трещины стен западного и восточного торцов здания

Рис.4. Дом 48. Трещины стены главного фасада.

Рис. 5. Дом 48. Трещины стены дворового фасада

Рис. 6. Дом 48. Трещины стен западного и восточного торцов здания
На рисунках по результатам обследования показано расположение наиболее существенных трещин, их примерное направление и ширина раскрытия в миллиметрах. Трещины с шириной раскрытия менее 1 мм не показаны.
На рис. 1 показаны, трещины главного фасада дома 49. Трещины проходят почти вертикально вблизи лестничных клеток и границ подвала под средней частью здания. Ширина раскрытия трещин до 4 мм. Возможной причиной их образования является наличие подвала под средней частью здания, различная глубина заложения подошвы фундаментов по длине дома, расположение подошв фундаментов в различных грунтовых слоях, замачивание грунтов основания.
Из рис. 2, 3 видно, что трещины расположены в юго-восточном углу здания, ширина раскрытия до 3 мм, этот угол здания имеет большую осадку, чем остальная часть дома. Возможной причиной появления этих трещин может быть перегрузка восточной торцовой стены, наличие более слабого прослойка грунта под этим углом здания, влияние забивки свай при строительстве нового жилого дома поблизости.
Наибольшее развитие получили трещины в западной торцовой стене здания с шириной раскрытия до 5 мм и наибольшей густотой их расположения. Причинами их образования могут быть наличие более слабого грунта под этой частью здания, оползневые подвижки грунта, замачивание грунта, динамические воздействия от автотранспорта, обслуживающего магазин, различная глубина заложения подошв фундаментов.
Дом 48 деформируется несколько меньше дома 49. Наибольшее количество трещин расположено на стене дворового фасада здания. Остальные стены имеют трещины с шириной раскрытия 2-3 мм на отдельных участках стен. Трещины стены дворового фасада (рис 5) проходят в основном по швам кладки, имеют ширину раскрытия до 4 мм, расположены большей частью, вертикально и только в восточной стороне стены имеются наклонные трещины. Вид трещин, их расположение, прохождение по швам кладки говорит о достаточно хорошем состоянии кладки, с незначительным снижением её прочности.
Согласно классификации деформаций по степени повреждения несущих конструкций [10] трещины обследованных жилых домов 48 и 49 совхоза-техникума полностью подходят под категорию:
−деформации, не нарушающие нормальной работы здания;
−внешние признаки категории деформаций: повреждение несущих конструкций (в основном распространены волосные трещины на стенах, ряд трещин до 3 ÷ 5 мм, отдельные трещины до 8 ÷ 10 мм).
По наружным стенам зданий имеются участки, где происходило замачивание кладки вследствие протечек из-за нарушения кровли (рис.2), замачивание за счёт стока вод с балкона второго этажа в связи с наклоном балконной плиты к зданию (рис. 4).
Карнизы парапетов торцовых стен разрушены на 1 - 2 ряда кирпичной кладки у обоих, домов.
По предварительным результатам обследования можно сделать следующие выводы и рекомендации:
1. В процессе длительной эксплуатации жилых домов 48 и 49 Пензенского совхоза-техникума в конструкциях здании появились трещины с шириной раскрытия до 5 мм, проходящие в. основном вертикально по швам кладки. Трещины расположены в продольных и поперечных наружных стенах зданий, в лестничных клетках. Деформаций других конструктивных элементов визуально не зафиксировано. В соответствии с положением о проведении планово-предупредительного ремонта жилых и общественных зданий физический износ зданий не превышает 40% и общее состояние зданий признается удовлетворительным. Все основные элементы зданий пригодны для эксплуатации.
2. Основными причинами появления деформаций в стенах зданий являются неодинаковая сжимаемость грунтов основания, расположение здания на откосе, замачивание грунтов основания, неодинаковая глубина заложения подошвы, фундаментов, динамические воздействия от движения автотранспорта и забивки свай поблизости, наличие дополнительного цокольного этажа на половину дома, наличие подвала под частью дома.
3. Деревянные элементы (окна, двери) к настоящему времени рассохлись, т.к. были выполнены из сырого материала, и неплотно закрываются, вызывая дополнительные нарекания жильцов.
4. Для наблюдения за дальнейшим развитием деформации зданий рекомендуем на трещины с шириной раскрытия 4-5 мм поставить маяки и по ним наблюдать, за динамикой развития трещин (растут, дышат).
5. Зданиям жилых домов необходим текущий ремонт - восстановление карнизов и парапетов, заделка трещин, ремонт кровли и т.д.
1. Технический отчёт о комплексных инженерных изысканиях на участке строительства девятиэтажного жилого дома со встроенно-пристроенным магазином в районе совхоза-техникума города Пензы.
2. Кошкина Н.В., Хрянина О.В., Ахрамеев А.В. Инженерно-геологические особенности глинистых грунтов территории Сурской оросительно-обводнительной системы//Актуальные проблемы современного фундаментостроения с учетом энергосберегающих технологий: материалы IV Всероссийской науч.-практ. конф. Пенза: Изд-во Пенз. госуд. ун-та арх-ры и строит-ва, 2014. с.51-53. ISBN 978-5-9282-1217-9.
3. Хрянина О.В., Ахрамеев А.В., Золотов С.Н., Колесниченко А.В. Генезис глинистых грунтов территории застройки г. Пензы//Актуальные проблемы современного фундаментостроения с учетом энергосберегающих технологий:материалы V Всероссийской науч.-практ. конф. Пенза: Изд-во Пенз. госуд. ун-та арх-ры и строит-ва, 2014. с. 62-65. ISBN 978-5-9282-1216-2.
4. Кошкина Н.В., Хрянина О.В., Астафьев М.В. Инженерно-геологическая оценка четвертичных отложений Пензенского региона//Актуальные проблемы современного фундаментостроения с учетом энергосберегающих технологий: материалы IV Всероссийской науч.-практ. конф. Пенза: Изд-во Пенз. госуд. ун-та арх-ры и строит-ва, 2014. с.53-56. ISBN 978-5-9282-1217-9.
5. Кошкина Н.В., Хрянина О.В., Астафьев М.В., Резник А.А. Проблемы формирования грунтовых вод на застраиваемых территориях//Актуальные проблемы современного фундаментостроения с учетом энергосберегающих технологий: материалы V Всероссийской науч.-практ. конф. Пенза: Изд-во Пенз. госуд. ун-та арх-ры и строит-ва, 2014. с.38-40.
6. СП 22.13330.2011. Основания зданий и сооружений. Актуализированная редакция СНиП 2.02.01-83*.Минрегион России, 2011.
7. ВСН 58-88(р). Положение об организации и проведении реконструкции ремонта и технического обслуживания зданий, объектов коммунального и социально-культурного назначения. Госкомархитектуры. Дата введения 1989-07-01.
8. Шеин А.И., Бакушев С.В., Зернов В.В., Зайцев М.Б. Опыт обследования зданий и сооружений. Моделирование и механика конструкций. 2017. № 5. С. 16.
9. Григорьев Ю.С., Фатеев В.В. Причины деформации и разрушения строительных конструкций жилого дома, построенного на присклоновой территории. Основания, фундаменты и механика грунтов. 2017. № 5. С. 10-15.
10. Ройтман А.Г. Деформации и повреждения зданий. М.: Стройиздат, 1987.



