с 01.01.2019 по настоящее время
Южно-Российский государственный политехнический университет (НПИ) имени М.И. Платова (Общеинженерные дисциплины, профессор)
с 01.01.1980 по 01.01.2019
г. Москва и Московская область, Россия
Новочеркасск, Ростовская область, Россия
Новочеркасск, Ростовская область, Россия
Санкт-Петербург, г. Санкт-Петербург и Ленинградская область, Россия
ББК 308 Монтаж, эксплуатация, ремонт машин и промышленного оборудования
Проведено исследование перспективности спектрально-тембрового акустического метода при строительных работах и анализе дисперсных систем пластов почв, почвогрунтов и грунтов, и в частности возможности выбора из предложенного списка параметров минимального, необходимого числа факторов и диапазонов их действия для возможности наиболее надежного распознавания структуры объекта по принятой классификационной шкале; - определение качественного (элементного) и количественного соотношения исследуемых дисперсных систем, основанное на косвенном измерении и компьютерных методах расчета. Разработан экспресс-анализ на ПЭВМ дисперсных объектов в виде пластов почв, почвогрунтов и грунтов по магнитофонной записи акустического аналогового сигнала поглощения.
строительные работы, почвогрунт, виброакустическое воздействие, зондирующий акустический сигнал, спектр Фурье, спектрально-тебровые подспектры частот, элементный состав
Введение
Контроль и анализ экологического состояния почвы с разным уровнем антропогенной нагрузки на урбанизированной территории при строительных работах приобретает все большую актуальность [1]. Одной их причин экологического загрязнения при строительстве может являться высвобождение и попадание в почву кальция из различных обломков, кирпича, строительного мусора, цемента, имеющих щелочную среду. Почвы под искусственными покрытиями также могут быть подвержены действию противоледных реагентов, так как бетон и асфальтобетон являются условно непроницаемыми покрытиями, кроме того, вымываемые хлориды кальция и магния могут попадать в «запечатанные» почвы с дренажными водами [4].
Одним из перспективных способов распознавания дисперсных объектов в их естественном залегании является темброво-акустический метод анализа дисперсности и концентрации составляющих частиц с отнесением предъявленного объекта к некоторому классу. Сущность метода заключается в том, что зондирующий акустический сигнал с помощью электромеханического преобразователя (вибратора) передает механические звуковые колебания на характерные структуры анализируемого образца [5,6]. Часть энергии переданной вибратором структуре рассеивается за счет сил вязкого и сухого трения в массе и только часть поданного колебательного сигнала достигает установленного на объекте датчика, реагирующего на ускорение материальных частиц диагностируемого образца. По убыли кинетической энергии колебательного сигнала, с точно известной частотой и амплитудой воздействия определяется средне суммарное количество структурных составляющих характерных для каждого «эталонного» класса образцов.
Возникает необходимость выбрать параметры зондирующего сигнала так, чтобы процесс идентификации был наиболее надежным. К таким параметрам сигнала следует отнести: частоты зондирующих сигналов, формы импульсов амплитуды зондирующих импульсов, диапазон применяемых частот, время воздействия сигнала, температуры окружающего пространства и анализируемого объекта. Существенную роль имеют: способ регистрации сигналов, ответных реакций дисперсного объекта, методы сохранения исследуемой реакции для дальнейшего аппаратурного и программного анализа.
Объекты и методы исследования
При регистрации акустической реакции дисперсных объектов в виде пластов почв, почвогрунтов и грунтов на зондирующие колебательные воздействия возникает ответная реакция, записываемая на магнитофонный носитель с частотной характеристикой достаточной для исследований в области акустики [7]. Подаваемый на исследуемый массив зондирующий сигнал, однозначно обеспечивает граничные условия передачи зондирующих колебаний на анализируемый объем образца. Аналогичные требования предъявляются к приемнику акустических колебаний условно называемого в дальнейшем микрофоном. Параметры зондирующего и регистрируемого колебания, а также расстояния между вибратором и микрофоном выдерживаются в установленных оптимальных рамках с целью получения однозначного результата структурного анализа после его математической обработки на компьютере.
Для обеспечения наибольшей разрешающей способности метода, зондирующие импульсы регистрируют в тех местных условиях, в которых записываются фонограммы реакций подлежащих анализу пластов. Пробные регистрации проводятся с целью установления отсутствия акустических помех на выбранном диапазоне зондирующих сигналов. При обнаружении акустических шумовых помех необходимо: либо подавить их электрическими фильтрами, либо перейти на другой диапазон зондирующих сигналов. Поэтому предлагаемой методикой предусмотрена передача зондирующего акустического сигнала, например, с помощью механического пилота, имеющего по периметру плавные закругления и поверхности соприкосновения пилота с массивом
Каждый опыт (зарегистрированная фонограмма) выполняется не менее трех раз, начинаться и заканчиваться строго по счетчику магнитного носителя, чтобы обеспечивать метрологическую достоверность начальной фазы опыта. Повторения каждого опыта необходимы для того, чтобы выбранные по фонограмме отрезки реактивного сигнала могли рассматриваться как состоятельные выборки из генеральной совокупности, а также с целью установления оценки случайной последовательности импульсов фонограммы и гипотезы нормальности непрерывных распределений. Предполагается, что как зондирующие колебания, так и зарегистрированные реакции пластов в процессе эксперимента поддерживались на оптимальных уровнях и частотах.
Анализы магнитной записи (фонограммы) выполняются по программам с помощью персонального компьютера или аналогового спектроанализатора, позволяющих выполнить спектральное преобразование Фурье, разлагающего анализируемый сигнал на его элементарные, физически реальные, составляющие, обеспечивающие аддитивность по критерию суперпозиции, исправленные на АЧХ сигнала. При обработке сигнала на цифровом компьютере разложение сигнала осуществляется по алгоритму быстрого преобразования Фурье. Аналоговые спектрограммы служат для контроля и позволяют выделить все периодические составляющие в виде гармоник так как они на спектрограмме представлены не распределенными плотностями, а имеют вид тонких столбиков. Аналоговые спектрограммы позволяют установить диапазон финитности спектральных составляющих и обоснованно указать длительность эксперимента необходимую для аппроксимации записанного случайного процесса отрезками фонограмм конечной длительности.
Результаты исследований
Академиком Котельниковым В.А. была доказана теорема утверждающая, что всякий сигнал, может быть, представлен дискретным набором его отсчетов через равные промежутки времени без всякой потери информации при условии, что частота отсчетов не менее чем вдвое превышает максимальную частоту анализируемого звукового сигнала. Этому условию соответствуют разложения АС в ряд Фурье с помощью интегральных преобзований Фурье - Лапласа, по полиномам Чебышева, Бесселя и т.д. [8].
Разложение АС в ряд Котельникова, обладая высокой точностью, обеспечивает корректность задачи и подходит для дискретного описания АС. Недостатком является отсутствие специальной аппаратуры для быстрой обработки сигнала.
Представление сигнала в виде ортогональных полиномов Чебышева обеспечивает наивысшую точность разложения ограниченного сигнала АЭ на составляющие и гарантирует быструю равномерную сходимость рядов. Обработка по Чебышеву пока не реализуется в режиме реального времени.
Использование разложений по функциям Уолша, ортогональным полиномам Сеге, полиномам Эрмита, Бесселя и других, требуют создания и применения специализированной числовой аппаратуры для обработки сигнала акустической эмиссии (АЭ).
С точки зрения доступности и практического приложения рационально разлагать сигналы АЭ на компоненты с помощью интегрального преобразования Лапласа. С математической точки зрения преобразование Фурье является частным случаем интегрального преобразования Лапласа.
Разложение АС на компоненты с помощью интегрального преобразования Фурье-Лапласа [9] весьма перспективно в области строительства и строительного производства.
При использовании математической модели определения элементного состава на основе интегрального преобразования Фурье - Лапласа требуемая точность аппроксимации случайного процесса достигается сохранением достаточного количества значимых тембровых гармоник в полученном экспериментально спектре Фурье [10].
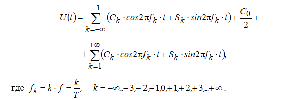
Так осуществляется переход от физических параметров элементного состава к параметрам частотно-амплитудного энергетического спектра, полученного из временного ряда отсчетов, сигнала, дискретным быстрым преобразованием Фурье:

Трансформанты Фурье представляют собой математические абстракции, оперирующие с несуществующими физически отрицательными частотами на левой полуоси ![]()
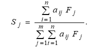
При анализе сигнала контролируемой системы выделяют подспектры [11] известных частот
Используя базы данных эталонных систем, определяют качественный состав контролируемой системы по присутствию основных гармоник
, для которых
- амплитуда шумового спектра). Количественный состав, т.е. процентное содержание
- го элемента определяется по формуле:

На рис.1 приведена в цифровой форме спектрограмма Фурье шестого образца и подспектры по значимым основным и кратным им тембровым гармоникам.


Рис. 1 Спектрограмма Фурье и подспектры значимых гармоник
Если принять одну из спектрограмм за эталонную, а элементный состав принять по характерным основным пяти гармоникам, то по подспектрам основных и тембровых гармоник можно определить количественную характеристику каждого элемента системы.
Выводы
Проведенный анализ регистрации акустической реакции дисперсных объектов в виде пластов почв при выполнении строительных работ позволяет заключить:
- Акустическая методика спектрально-тембрового анализа весьма эффективна (надежна) для идентификации пластов почв, почвогрунтов и грунтов.
- Требования, предъявляемые к регистрирующей аппаратуре, зависят от частот и ширин полос зондирующих сигналов и должны уточняться для разных областей применения специальным экспериментом. Для повышения разрешающей способности возможно использование эффекта Доплера, но конкретные рекомендации требуют проведения дополнительных исследований.
- Компьютерная технология определения элементного состава анализируемых объектов (пластов почв, почвогрунтов и грунтов) реализуется механизмом преобразования фонограмм в цифровую форму Фурье с последующей криториальной косвенной оценки содержания условных элементов в исследуемых дисперсных системах.
1. Забелина О.Н., Феоктистова И.Д. Сравнительный анализ экологического состояния почвы урбанизированных территорий // Фундаментальные исследования. - 2014. - № 9-11. - С. 2456-2459
2. Фролов А.В., Лепихова В.А., Ляшенко Н.В., Шевченко Н.С. Безопасность жизнедеятельности и охрана труда в строительстве. Учебник для вузов / Под общей ред. А.В. Фролова. Москва, 2018. - 586 с.
3. Кононенко В.В., Муханов В.В. Приборный мониторинг урболандшафтов юга России.//Промышленная экология: Материалы международной школы - семинара./Ростов-на-Дону. Рост.гос.строит.ун-т, 2000. - С 74-75.
4. Бондаренко В.А., Евтушенко С.И., Лепихова В.А., Чибинев Н.Н., Версилов С.О., Фирсов В.В. Безопасность жизнедеятельности. Практикум - Учебное пособие / Москва, 2019. - 150
5. Гущин В. В., Рубцов С. Н. Особенности модуляции звука звуком в гранулированной среде. // Электронный журнал «Техническая акустика» http://www.ejta.org. 2014, 4.
6. Евтушенко С.И., Крахмальный Т.А., Фирсов В.В., Лепихова В.А., Кучумов М.А. Новые системы наблюдения и контроля дефектов и повреждений строительных конструкций. Строительство и архитектура. 2020. Т. 8. № 1. С. 11-18.
7. Стретт Дж. (Лорд Рэй). Теория звука. - М.: Техн. эконом. литер., 1955 - Т.1 - 499 с.
8. Бендат Дж., Пирсол А. Измерение и анализ случайных процессов / Пер. с англ. - М.: Мир, 1974. - 463с.
9. Ахмед Н., Рао К.Р. Ортогональные преобразования при обработке цифровых сигналов. - М.: Связь, 1980. - 248 с.
10. Пуресев А.И., Лепихова В.А. Оценка экологического состояния окружающей среды по сигналам акустической эмиссии. //Промышленная экология:Материалы международной школы - семинара./Ростов-на-Дону. Рост.гос.строит.ун-т, 2000. - С 75-79.
11. Пат.2222807 РФ, МПК G01 N 29/02. Способ обработки сигналов акустической эмиссии генерируемых дисперсных систем / Пуресев А.И. Торопов О.А.Малых Е.А. Сорокин Н.П. - Заявл. 12.02.01; Опубл. 27.01.04, Бюл




