с 01.01.2018 по настоящее время
Киров, Кировская область, Россия
ВАК 08.00.10 Финансы, денежное обращение и кредит
ВАК 08.00.12 Бухгалтерский учет, статистика
ВАК 08.00.13 Математические и инструментальные методы экономики
ВАК 08.00.14 Мировая экономика
На сегодняшний день в Российской Федерации создана и активно развивается система стратегического планирования социально-экономического развития, включающая субъекты, объекты, стратегические документы, инструменты, нормативную и методологическую основу, а также ряд других элементов. Несмотря на институциональную сформированность, остается не мало проблем в данной системе, особенно на региональном уровне. Субъекты РФ на своем уровне имеют стратегические документы, целью которых выступает социально-экономическое развитие региона. Несмотря на это, качество стратегических документов не всегда находится на высоком уровне. В первую очередь влияние на качество стратегических документов оказывает набор инструментов, которые позволяют достичь поставленных целей и задач. В рамках данного исследования, в систему инструментов стратегического планирования на этапе определения приоритетных направлений предложен метод корреляционно-регрессионного анализа.
Корреляционно-регрессионный анализ, инструменты, стратегическое планирование, социально-экономическое развитие, стратегия
Введение.
Актуальность данного исследования обусловлена необходимостью определения эффективных инструментов стратегического планирования, применяемых на этапе определения перспективных направлений стратегии социально-экономического развития. Выбор таких инструментов позволит региональным и муниципальным органам власти рационально распределять средства бюджета на реализацию целей и задач стратегии социально-экономического развития.
Основной целью статьи является применение корреляционно-регрессионного анализа в качестве инструмента определения перспективных направлений в стратегическом планировании территорий.
Методология исследования.
В исследовании был использован метод корреляционно-регрессионного анализа для определения перспективных направлений стратегии социально-экономического развития в разрезе основных экономических специализаций региона (муниципалитета).
Результаты исследования.
Исходя из анализа научной литературы, посвященной инструментам стратегического планирования на региональном уровне, можно сделать вывод о том, что на сегодняшний день не сформировано четкого определения «инструмент стратегического планирования», а также не определена система таких инструментов на разных его этапах.
Многие авторы при использовании понятия «инструмент планирования» понимают под ним программу социально-экономического развития [5], региональную экономическую политику [4] или отдельные традиционные инструменты. [3]
Проанализировав литературные источники, можно сформулировать определение «инструменты стратегического планирования» - это методы, подходы и приемы, целесообразность применения которых обусловлена необходимостью выполнения функций и задач на каждом этапе стратегического планирования, позволяющих разработать эффективную стратегию.
В рамках данного исследования предложен корреляционно-регрессионный анализ как инструмент стратегического планирования социально-экономического развития региона.
Итак, корреляционный и регрессионный анализы применяются для изучения по выборочным данным статистической зависимости ряда случайных величин [2].
Корреляционный анализ позволяет сделать вывод о силе взаимосвязи между парами данных x и y и использует регрессионный анализ для прогнозирования одной переменной (y) на основе другой переменной (x). Другими словами, в данном случае возможно выявить причинно-следственную связь между анализируемыми совокупностями [6].
Регрессионный анализ четко распределяет роли между изучаемыми характеристиками − первая из них является аргументом, а вторая – функцией. Предсказанная переменная (функция) обозначается как y, а переменная, используемая для такого предсказания (аргумент или фактор) как x.
Характеристика силы связи на основе коэффициента парной корреляции показывает, что при коэффициенте до 0,3 – связь отсутствует, от 0,3 до 0,5 – связь слабая, от 0,5 до 0,7 – заметная, от 0,7 до 0,9 связь сильная и от 0,9 до 0,99- очень сильная [1].
В проведенном исследовании корреляционно-регрессионный анализ применен к северным районам Омской области (Знаменский муниципальный район).
Результаты, полученные в рамках исследования, выступили основой построения линейной функции, которая дает возможность определить перспективные для данного муниципального района направления в отрасли сельского хозяйства.

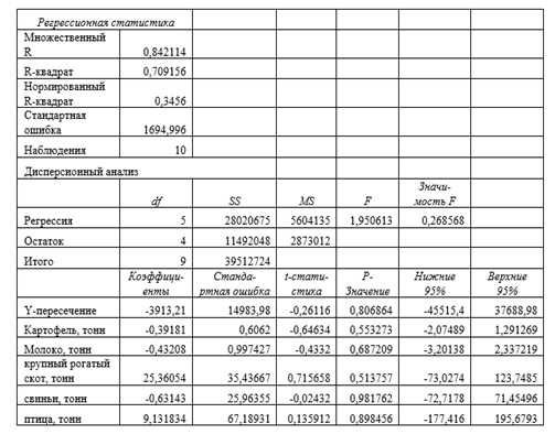
Рисунок 1 – Результаты регрессионного анализа Знаменского района
Линейная функция на основе полученных результатов (Знаменский район) у = 3913,21 – 0,39 *Х1 -0,43 *Х2 + 25,36 * Х3 – 0,63 * Х4 + 9,13 * Х5
Коэффициент детерминации R2 составил 0,70, что также свидетельствует о достоверности полученных результатов, так как значение выше нормативного 0,5.
В результате проведённого корреляционного анализа было определено, что по данным показателей сельскохозяйственных предприятий Знаменского района, наиболее тесно коррелируют с показателем общей прибыли такие направления, как выращивание картофеля, производство молока, выращивание КРС на мясо, выращивание свиней на мясо и выращивание птицы на мясо.
Далее приведены расчеты для Знаменского района, для которого наиболее перспективными выделены такие направления: выращивание КРС (на убой), и выращивание птицы на мясо.
На Рисунке 2 представлена динамика получения прибыли сельскохозяйственными организациями и КФХ Знаменского района в результате развития перспективных направлений.

Рисунок 2 – Динамика получения прибыли сельскохозяйственными организациями и КФХ Знаменского района в результате развития перспективных направлений, тыс. руб.
При ежегодном увеличении объемов производства даже на 1% возможен существенный прирост прибыли даже в 2021 году, который превышает уровень 2019 года и значительно увеличивается к 2025 году. Таким образом, рекомендовано наращивать объемы производства выделенных перспективных направлений развития сельского хозяйства не менее 1% в год.
Итак, из проведенного исследования видно, что использование корреляционно-регрессионного анализа как инструмента стратегического планирования позволит повысить уровень реализации стратегических документов региона (муниципального образования), и как следствие уровень социально-экономического развития.
Заключение.
По результатам исследования предложено использование метода корреляционно-регрессионного анализа как инструмента стратегического планирования, применяемого на этапе определения перспективных направлений стратегии социально-экономического развития в разрезе основных экономических специализаций, позволяющий органам власти рационально распределять бюджетные средства на достижение целей и задач стратегии социально-экономического развития как региона в целом, так и отдельных в его составе муниципальных образований.
1. Бараз В.Р. Корреляционно-регрессионный анализ связи показателей коммерческой деятельности с использованием программы Excel : учебное пособие / В.Р. БАРАЗ. - Екатеринбург : ГОУ ВПО «УГТУ-УПИ», 2005. - 102 с.
2. Доменко Ю.Ю. Определение приоритетных направлений как инструмент стратегического планирования социально-экономического развития региона Инновации и инвестиции. 2021. № 9. С. 162-166.
3. Копылова Ю.В. Систематизация инструментов стратегического планирования социально-экономического развития региона Фундаментальные исследования. 2019. № 5. С. 50-56.
4. Омарова Т.Д., Омаров Т.Д. Региональная экономическая политика как инструмент реализации стратегии социально-экономического развития В сборнике: Стратегическое управление: теория, практика и проблемы. Материалы XV Межрегиональной научно-практической конференции. 2018. С. 84-88.
5. Пилтакян К.С., Мокрушин А.А. Инструменты стратегического планирования социально-экономического развития региона В сборнике: Проблемы и перспективы социально-экономического развития регионов Юга России. сборник научных трудов по материалам VI Всероссийской научно-практической конференции. под науч. редакцией А.А. Тамова. 2020. С. 123-128.
6. Терещенко, О. В. Многомерный статистический анализ данных в социальных науках: учеб. Пособие / О. В. Терещенко, Н. В. Курилович, Е. И. Князева. - Минск: БГУ, 2012. - 239 с. ISBN 978-985-518-711-1



